精英家教网 > 高中数学 > 题目详情

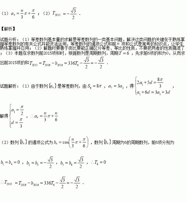
(本小题满分10分)已知是等差数列的前项和,且

(1)求数列的通项公式;

(2)设是数列的前项和,求的值.

练习册系列答案
相关习题

科目:高中数学 来源:2015-2016学年吉林实验中学高二上学期期中文科数学试卷(解析版) 题型:解答题

(本小题12分)已知满足不等式组

求(1)的最大值;

(2)的最小值.

查看答案和解析>>

科目:高中数学 来源:2015-2016学年甘肃省嘉峪关市高二上学期期中考试文科数学试卷(解析版) 题型:选择题

已知整数的数对列如下:(1,1),(1,2),(2,1),(1,3),(2,2),(3,1),(1,4),(2,3),(3,2),(4,1),(1,5),(2,4),,则第60个数对是( )

A.(3,8) B.(4,7) C.(4,8) D.(5,7)

查看答案和解析>>

科目:高中数学 来源:2016届浙江宁波效实中学高三上期中考试理科数学试卷(解析版) 题型:选择题

”是“”的( )

A.充分不必要条件 B.必要不充分条件

C.充要条件 D.既不充分也不必要条件

查看答案和解析>>

科目:高中数学 来源:2016届山东省高三第二次诊断性考试理科数学试卷(解析版) 题型:解答题

(本小题满分12分)

已知命题方程上有解,命题只有一个实数满足不等式,若命题“”是假命题,求实数的取值范围.

查看答案和解析>>

科目:高中数学 来源:2016届河南省原名校高三上学期第一次联考理科数学试卷(解析版) 题型:解答题

(本小题满分12分)已知是定义在上的奇函数,且,若时,有成立.

(1)判断上的单调性,并证明;

(2)解不等式:

(3)若对所有的恒成立,求实数的取值范围.

查看答案和解析>>

科目:高中数学 来源:2015-2016学年四川绵阳南山中学高二上期中文科数学试卷(解析版) 题型:选择题

等比数列的各项均为正数,且,则

A. B.

C. D.

查看答案和解析>>

科目:高中数学 来源:2015-2016学年广西桂林中学高二上期中考试文科数学试卷(解析版) 题型:选择题

已知实数满足不等式组,则的取值范围为( )

A. B. C. D.

查看答案和解析>>

科目:高中数学 来源:2015-2016学年河南省英文学校高一上学期期中考试数学试卷(解析版) 题型:解答题

(本小题满分10分)已知

(Ⅰ)若,求的取值范围;

(Ⅱ)若,求的取值范围.

查看答案和解析>>

同步练习册答案