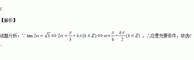
精英家教网 > 高中数学 > 题目详情

”是“”的( )

A.充分不必要条件 B.必要不充分条件

C.充要条件 D.既不充分也不必要条件

练习册系列答案
相关习题

科目:高中数学 来源:2015-2016学年江西南昌二中高二上学期期中理科数学试卷(解析版) 题型:解答题

(本小题满分12分)已知直线,双曲线

①若直线与双曲线的其中一条渐近线平行,求双曲线的离心率;②若直线过双曲线的右焦点,与双曲线交于两点,且,求双曲线方程.

查看答案和解析>>

科目:高中数学 来源:2015-2016学年福建省高一上学期期中数学试卷(解析版) 题型:选择题

,则从的映射共有( )个.

A.4个 B.6个 C.8个 D. 9 个

查看答案和解析>>

科目:高中数学 来源:2015-2016学年甘肃省嘉峪关市高二上学期期中考试理科数学试卷(解析版) 题型:选择题

函数f(x)=的定义域是R,则实数a的取值范围是( )

A. B. C. D.[

查看答案和解析>>

科目:高中数学 来源:2016届浙江宁波效实中学高三上期中考试理科数学试卷(解析版) 题型:解答题

二次函数的图象过原点,且对,恒有.设数列满足

(1)求函数的表达式;

(2)证明:

(3)证明:

查看答案和解析>>

科目:高中数学 来源:2016届山东省高三第二次诊断性考试文科数学试卷(解析版) 题型:选择题

下列函数中,既是偶函数,又在区间内是增函数的是

A. B.

C. D.

查看答案和解析>>

科目:高中数学 来源:2016届河南省原名校高三上学期第一次联考文科数学试卷(解析版) 题型:解答题

(本小题满分10分)已知是等差数列的前项和,且

(1)求数列的通项公式;

(2)设是数列的前项和,求的值.

查看答案和解析>>

科目:高中数学 来源:2015-2016学年四川绵阳南山中学高二上期中理科数学试卷(解析版) 题型:填空题

已知等差数列的公差为其前的和.若,则数列的前取得最小值时,的值为 .

查看答案和解析>>

科目:高中数学 来源:2015-2016学年湖北省高二上学期期中理科数学试卷(解析版) 题型:解答题

(本小题满分12分)如图,已知四棱锥的底面是菱形,对角线交于点底面,点满足

(1)当时,证明:

(2)若二面角的大小为,问:符合条件的点是否存在.若存在,求出的值.若不存在,说明理由.

查看答案和解析>>

同步练习册答案