精英家教网 > 高中数学 > 题目详情

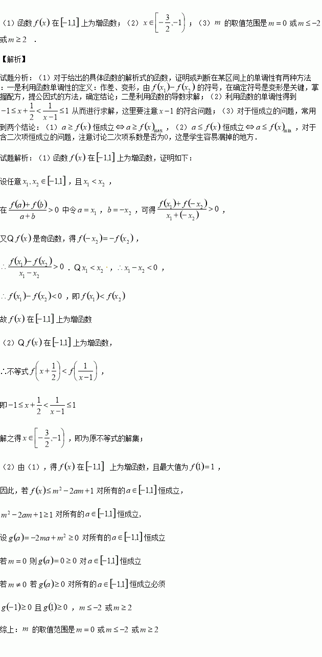
(本小题满分12分)已知是定义在上的奇函数,且,若时,有成立.

(1)判断上的单调性,并证明;

(2)解不等式:

(3)若对所有的恒成立,求实数的取值范围.

练习册系列答案
相关习题

科目:高中数学 来源:2015-2016学年吉林实验中学高二上学期期中理科数学试卷(解析版) 题型:解答题

(本小题12分)已知点的坐标是,过点的直线轴交于,过点且与直线垂直的直线轴与点,设点的中点,求点的轨迹方程.

查看答案和解析>>

科目:高中数学 来源:2015-2016学年甘肃省嘉峪关市高二上学期期中考试理科数学试卷(解析版) 题型:选择题

函数f(x)=的定义域是R,则实数a的取值范围是( )

A. B. C. D.[

查看答案和解析>>

科目:高中数学 来源:2016届山东省高三第二次诊断性考试文科数学试卷(解析版) 题型:选择题

下列函数中,既是偶函数,又在区间内是增函数的是

A. B.

C. D.

查看答案和解析>>

科目:高中数学 来源:2016届河南省原名校高三上学期第一次联考文科数学试卷(解析版) 题型:解答题

(本小题满分10分)已知是等差数列的前项和,且

(1)求数列的通项公式;

(2)设是数列的前项和,求的值.

查看答案和解析>>

科目:高中数学 来源:2015-2016学年浙江省宁波市高一上期中数学试卷(解析版) 题型:选择题

,函数满足,若,则的最小值为( )

A. B. C. D.

查看答案和解析>>

科目:高中数学 来源:2015-2016学年四川绵阳南山中学高二上期中理科数学试卷(解析版) 题型:填空题

已知等差数列的公差为其前的和.若,则数列的前取得最小值时,的值为 .

查看答案和解析>>

科目:高中数学 来源:2015-2016学年福建省师大附高二上期中理科数学试卷(解析版) 题型:选择题

中,内角所对的边分别为,已知,则角的大小为( )

A. B. C. D.

查看答案和解析>>

科目:高中数学 来源:2015-2016学年广东省英德市高二上学期第一次月考理科数学试卷(解析版) 题型:解答题

(本题满分12分)

(1)当时,求的解集

(2)解不等式:

查看答案和解析>>

同步练习册答案