精英家教网 > 高中数学 > 题目详情

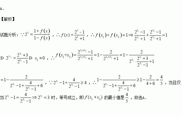
,函数满足,若,则的最小值为( )

A. B. C. D.

练习册系列答案
相关习题

科目:高中数学 来源:2015-2016学年湖南省常德市高一上学期期中数学试卷(解析版) 题型:解答题

(共12分)设集合

(1)若,求

(2)若,求实数a的范围.

查看答案和解析>>

科目:高中数学 来源:2016届浙江宁波效实中学高三上期中考试文科数学试卷(解析版) 题型:选择题

已知定义在的函数满足:①图象关于点对称;②;③当时,则函数在区间上的零点个数为( )

A.5 B.6 C.7 D.8

查看答案和解析>>

科目:高中数学 来源:2016届山东省高三第二次诊断性考试理科数学试卷(解析版) 题型:选择题

下列函数中,既是偶函数,又在区间内是增函数的是

A. B.

C. D.

查看答案和解析>>

科目:高中数学 来源:2016届河南省原名校高三上学期第一次联考理科数学试卷(解析版) 题型:解答题

(本小题满分12分)已知是定义在上的奇函数,且,若时,有成立.

(1)判断上的单调性,并证明;

(2)解不等式:

(3)若对所有的恒成立,求实数的取值范围.

查看答案和解析>>

科目:高中数学 来源:2015-2016学年四川绵阳南山中学高二上期中文科数学试卷(解析版) 题型:选择题

已知直线的方程为,则直线的倾斜角为

A. B.

C. D.

查看答案和解析>>

科目:高中数学 来源:2015-2016学年湖北省高二上期中文科数学试卷(解析版) 题型:选择题

已知是双曲线的左焦点,P是C右支上一点, ,当 周长最小时,该三角形的面积为( )

A. B. C. D.

查看答案和解析>>

科目:高中数学 来源:2015-2016学年陕西省高二上学期期中考试数学试卷(解析版) 题型:选择题

已知,则的最小值为( )

A.8 B.6 C. D.

查看答案和解析>>

科目:高中数学 来源:2015-2016学年广东省普宁市高一上学期期中考试数学试卷(解析版) 题型:解答题

(本小题满分14分)如图所示,四棱锥P-ABCD中,底面ABCD是矩形,PA⊥平面ABCD,M、N分别是AB、PC的中点,PA=AD=a.

(1)求证:MN∥平面PAD;

(2)求证:平面PMC⊥平面PCD.

查看答案和解析>>

同步练习册答案