精英家教网 > 高中数学 > 题目详情

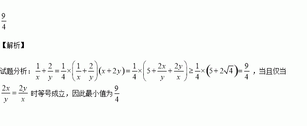
,且,则的最小值为

练习册系列答案
相关习题

科目:高中数学 来源:2015-2016学年黑龙江省牡丹江市高一上学期9月月考数学试卷(解析版) 题型:填空题

设函数,则满足的取值范围为

查看答案和解析>>

科目:高中数学 来源:2015-2016学年广东省清远市实验学校高一10月月考数学试卷A(解析版) 题型:选择题

,则 ( )

A.2 B.4 C. D.10

查看答案和解析>>

科目:高中数学 来源:2015-2016学年福建省福安市高二上学期第一次月考试数学试卷(解析版) 题型:解答题

(本小题12分)已知,且的必要不充分条件,求实数m的取值范围,

查看答案和解析>>

科目:高中数学 来源:2015-2016学年安徽省合肥市高二上开学考试理科数学试卷(解析版) 题型:填空题

设x,y满足约束条件则z=x+2y的最大值为_______.

查看答案和解析>>

科目:高中数学 来源:2015-2016学年甘肃天水秦安二中高二上学期第一次月考文科数学试卷(解析版) 题型:填空题

已知f(x)=x4+4x3+6x2+4x+1,则f(9)=__________.

查看答案和解析>>

科目:高中数学 来源:2015-2016学年河北省高二10月月考数学试卷(解析版) 题型:选择题

如果实数满足条件 ,那么的最大值为( )

A.2 B.1 C.-2 D.-3

查看答案和解析>>

科目:高中数学 来源:2015-2016学年黑龙江省高一上学期第一阶段考数学试卷(解析版) 题型:选择题

,则( )

A. B.0 C. D.

查看答案和解析>>

科目:高中数学 来源:2015-2016学年湖南省益阳市高一9月月考数学试卷(解析版) 题型:选择题

在下列图象中,二次函数与函数的图象可能是

查看答案和解析>>

同步练习册答案