精英家教网 > 高中数学 > 题目详情

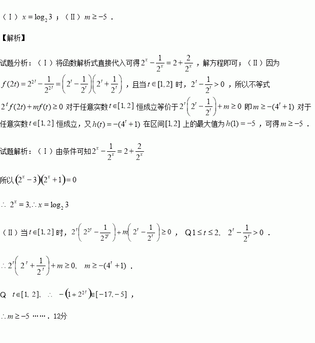
(本小题满分12分)已知函数

(Ⅰ)若,求的值;

(Ⅱ)若对于任意实数恒成立,求实数的取值范围.

练习册系列答案
相关习题

科目:高中数学 来源:2015-2016学年江苏省泰州市姜堰区高一上学期期中考试数学试卷(解析版) 题型:填空题

若函数的零点为,满足,则k=

查看答案和解析>>

科目:高中数学 来源:2016届辽宁省大连市高三10月月考文科数学试卷(解析版) 题型:选择题

已知全集,集合,集合,则集合( )

(A) (B) (C) (D)

查看答案和解析>>

科目:高中数学 来源:2016届重庆市高三上学期期中文科数学试卷(解析版) 题型:选择题

命题“对”的否命题是( )

A.不 B.

C. D.对

查看答案和解析>>

科目:高中数学 来源:2015-2016年浙江宁波效实中学高二1,2班上期中数学卷(解析版) 题型:解答题

抛物线的准线过双曲线的一个焦点.

(1)求抛物线C的方程;

(2)设M为抛物线C上任意一点.

①设,求距离之和的最小值;

②以M为切点的抛物线的切线交于点N,试问轴上是否存在定点Q,使Q在以MN为直径的

圆上.若存在,求出点Q坐标,若不存在,说明理由.

查看答案和解析>>

科目:高中数学 来源:2015-2016学年河北省高二上学期期中数学试卷(解析版) 题型:解答题

(本小题满分12分)数列的前项和为,且的等差中项,等差数列满足

(Ⅰ)求数列的通项公式;

(Ⅱ)设,数列的前项和为,证明:

查看答案和解析>>

科目:高中数学 来源:2015-2016年河北省高二上学期期中数学试卷(解析版) 题型:填空题

点P为椭圆上的任意一点,EF为圆的任一条直径,则的取值范围为 .

查看答案和解析>>

科目:高中数学 来源:2016届江西省高三上学期期中文科数学试卷(解析版) 题型:选择题

中,的对边,且,则( ).

A.成等差数列

B.成等差数列

C.成等比数列

D.成等比数列

【答案】D

【解析】

试题分析:,即,所以成等比数列,故选D.

考点:1、两角和与差的余弦;2、二倍角;3、正弦定理.

【题型】选择题
【适用】一般
【标题】【百强校】2016届江西省临川一中高三上学期期中文科数学试卷(带解析)
【关键字标签】
【结束】
 

周期为4的奇函数上的解析式为,则( )

A. B. C. D.

查看答案和解析>>

科目:高中数学 来源:2016届甘肃省高三上学期期中理科数学试卷(解析版) 题型:选择题

已知角α的终边过点P(-8m,-6sin 30°),且cos α=-,则m的值为( )

A. B.- C.- D.

查看答案和解析>>

同步练习册答案