精英家教网 > 高中数学 > 题目详情
在直角坐标系xOy中,点,点F为抛物线C:y=mx2(m>0)的焦点,线段MF恰被抛物线C平分.
(Ⅰ)求m的值;
(Ⅱ)过点M作直线l交抛物线C于A,B两点,设直线FA、FM、FB的斜率分别为k1、k2、k3,问k1,k2,k3能否成公差不为零的等差数列?若能,求直线l的方程;若不能,请说明理由.
【答案】分析:(Ⅰ)确定焦点F的坐标、线段MF的中点坐标,代入抛物线方程,即可求m的值;
(Ⅱ)设出l方程与抛物线方程联立,利用韦达定理,及k1,k2,k3能成公差不为零的等差数列,可得方程,即可求得直线l的方程.
解答:解:(Ⅰ)焦点F的坐标为,线段MF的中点在抛物线C上,
,∴8m2+2m-1=0,∴舍).  …(5分)
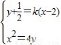
(Ⅱ)由(Ⅰ)知:抛物线C:x2=4y,F(0,1).
设l方程为:,A(x1,y1)、B(x2,y2),
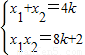
则由得:x2-4kx+8k+2=0,△=16k2-4(8k+2)>0,
解得. 
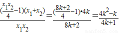
由韦达定理可得,,…(8分)
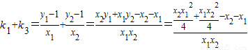
假设k1,k2,k3能成公差不为零的等差数列,则k1+k3=2k2

=,…(11分)
,∴,8k2+10k+3=0,解得:(符合题意),(此时直线l经过焦点F,k1=k2=k3,不合题意,舍去),…(14分)
直线l的方程为,即x+2y-1=0.
故k1,k2,k3能成公差不为零的等差数列,直线l的方程为:x+2y-1=0. …(15分)
点评:本题考查抛物线的标准方程,考查直线与抛物线的位置关系,考查韦达定理的运用,考查学生的计算能力,属于中档题.
练习册系列答案
相关习题

科目:高中数学 来源: 题型:

在直角坐标系xOy中,椭圆C1
x2
a2
+
y2
b2
=1(a>b>0)的左、右焦点分别为F1,F2.F2也是抛物线C2:y2=4x的焦点,点M为C1与C2在第一象限的交点,且|MF2|=
5
3

(Ⅰ)求C1的方程;
(Ⅱ)平面上的点N满足
MN
=
MF1
+
MF2
,直线l∥MN,且与C1交于A,B两点,若
OA
OB
=0
,求直线l的方程.

查看答案和解析>>

科目:高中数学 来源: 题型:

在直角坐标系xOy中,已知点P(2cosx+1,2cos2x+2)和点Q(cosx,-1),其中x∈[0,π].若向量
OP
OQ
垂直,求x的值.

查看答案和解析>>

科目:高中数学 来源: 题型:

精英家教网如图所示,在直角坐标系xOy中,射线OA在第一象限,且与x轴的正半轴成定角60°,动点P在射线OA上运动,动点Q在y轴的正半轴上运动,△POQ的面积为2
3

(1)求线段PQ中点M的轨迹C的方程;
(2)R1,R2是曲线C上的动点,R1,R2到y轴的距离之和为1,设u为R1,R2到x轴的距离之积.问:是否存在最大的常数m,使u≥m恒成立?若存在,求出这个m的值;若不存在,请说明理由.

查看答案和解析>>

科目:高中数学 来源: 题型:

在直角坐标系xOy中,已知圆M的方程为x2+y2-4xcosα-2ysinα+3cos2α=0(α为参数),直线l的参数方程为
x=tcosθ
y=1+tsinθ
(t
为参数)
(I)求圆M的圆心的轨迹C的参数方程,并说明它表示什么曲线;
(II)求直线l被轨迹C截得的最大弦长.

查看答案和解析>>

科目:高中数学 来源: 题型:

在直角坐标系xOy中,已知椭圆C:
x2
a2
+
y2
b2
=1(a>b>0)
的离心率e=
2
2
,左右两个焦分别为F1,F2.过右焦点F2且与x轴垂直的直线与椭圆C相交M、N两点,且|MN|=2.
(1)求椭圆C的方程;
(2)设椭圆C的一个顶点为B(0,-b),是否存在直线l:y=x+m,使点B关于直线l 的对称点落在椭圆C上,若存在,求出直线l的方程,若不存在,请说明理由.

查看答案和解析>>

同步练习册答案