精英家教网 > 高中数学 > 题目详情
数列{an}满足a1=0,a2=2,,n=1,2,3,…。
(1)求a3,a4,并求数列{an}的通项公式
(2)设Sk=a1+a3+…+a2k-1,Tk=a2+a4+…+a2k,求使Wk>1的所有k的值,并说明理由。
解:(1)因为
所以

一般地,当时,

所以数列是首项为0、公差为4的等差数列,
因此
时,
所以数列{a2k}是首项为2、公比为2的等比数列,
因此
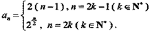
故数列{an}的通项公式为
(2)由(1)知,


于是
下面证明:当k≥6时,Wk<1
事实上,当k≥6时,


所以当时,
故满足Wk>1的所有k的值为3,4,5。
练习册系列答案
相关习题

科目:高中数学 来源: 题型:

设b>0,数列{an}满足a1=b,an=
nban-1an-1+n-1
(n≥2)
(1)求数列{an}的通项公式;
(4)证明:对于一切正整数n,2an≤bn+1+1.

查看答案和解析>>

科目:高中数学 来源: 题型:

若数列{an}满足a1=1,a2=2,an=
an-1an-2
(n≥3)
,则a17等于
 

查看答案和解析>>

科目:高中数学 来源: 题型:

已知a>0,数列{an}满足a1=a,an+1=a+
1
an
,n=1,2,….

(I)已知数列{an}极限存在且大于零,求A=
lim
n→∞
an
(将A用a表示);
(II)设bn=an-A,n=1,2,…,证明:bn+1=-
bn
A(bn+A)

(III)若|bn|≤
1
2n
对n=1,2,…
都成立,求a的取值范围.

查看答案和解析>>

科目:高中数学 来源: 题型:

数列{an}满足a1=1,an=
12
an-1+1(n≥2)

(1)若bn=an-2,求证{bn}为等比数列;    
(2)求{an}的通项公式.

查看答案和解析>>

科目:高中数学 来源: 题型:

数列{an}满足a1=
4
3
,an+1=an2-an+1(n∈N*),则m=
1
a1
+
1
a2
+…+
1
a2013
的整数部分是(  )

查看答案和解析>>

同步练习册答案