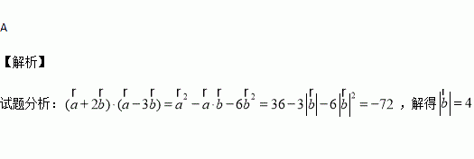
精英家教网 > 高中数学 > 题目详情

已知的夹角为,且=-72,||为

A.4 B.5 C.6 D.14

练习册系列答案
相关习题

科目:高中数学 来源:2015-2016学年江西省高一5月月考文科数学试卷(解析版) 题型:选择题

如图,半径为的圆中,已知弦的长为5,则( )

A. B. C. D.

查看答案和解析>>

科目:高中数学 来源:2015-2016学年福建省高二下期中理科数学试卷(解析版) 题型:填空题

某班一共准备了6个节目将参加厦门一中音乐广场活动,节目顺序有如下要求:甲、乙两个节目必须相邻,丙、丁两个节目不能相邻,则在这次活动中节目顺序的编排方案共有 种.

查看答案和解析>>

科目:高中数学 来源:2015-2016学年陕西省西安市高二下期中数学试卷(解析版) 题型:解答题

设函数,其中a,x∈R,e是自然对数的底数,.

(Ⅰ)当a=0时,解不等式

(Ⅱ)求函数的单调增区间;

(Ⅲ)设,讨论关于x的方程的解的个数.

查看答案和解析>>

科目:高中数学 来源:2015-2016学年陕西省西安市高二下期中数学试卷(解析版) 题型:填空题

湖面上漂着一个小球,湖水结冰后将球取出,冰面上留下一个直径为12cm,深2cm的空穴,则该球的表面积为_____________cm2.

查看答案和解析>>

科目:高中数学 来源:2015-2016学年陕西省西安市高二下期中数学试卷(解析版) 题型:选择题

在区间[0,6]上随机取一个数x,的值介于0到2之间的概率为

A. B. C. D.

查看答案和解析>>

科目:高中数学 来源:2016届陕西西北工大附中高三下第六次训练文数学卷(解析版) 题型:解答题

已知函数

(1)求的最小值;

(2)若,判断方程在区间内实数解的个数;

(3)证明:对任意给定的,总存在正数,使得当时,恒有.

查看答案和解析>>

科目:高中数学 来源:2016届陕西西北工大附中高三下第六次训练文数学卷(解析版) 题型:选择题

,则“ ”是“ ”的

A.充分而不必要条件 B.必要而不充分条件

C.充要条件 D.既不充分也不必要条件

查看答案和解析>>

科目:高中数学 来源:2015-2016学年天津市等六校高一上期末数学试卷(解析版) 题型:选择题

把函数的图象向右平移(其中)个单位,所得图象关于y轴对称,则的最小值是( )

A. B. C. D.

查看答案和解析>>

同步练习册答案