精英家教网 > 高中数学 > 题目详情
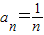
已知函数.设数列{an}满足a1=1,an+1=f(an)(n∈N+).
(1)求数列{an}的通项公式;
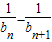
(2)已知数列{bn}满足,求证:对一切正整数n≥1都有<2.
【答案】分析:(1)由,an+1=f(an)(n∈N+)知:,由此能求出
(2)由bn+1=(1+bn2,知bn+1=bn(bn+1),故=,由此利用裂项求法能够证明对一切正整数n≥1都有<2.
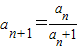
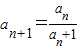
解答:(1)解:∵,an+1=f(an)(n∈N+),
,…1分
=,…..3分
=1,…5分
∴{}是以为首项,1为公差的等差数列,

.…6分
(2)证明:由已知得bn+1=(1+bn2
∴bn+1=bn(bn+1),显然bn∈(0,+∞),…7分
=====,…9分

=()+()+…+(
=
=2-<2.…11分
所以,对一切正整数n≥1都有<2.…12分
点评:本题考查数列的通项公式的求法和不等式的证明,解题时要认真审题,仔细解答,注意裂项求和法的合理运用.
练习册系列答案
相关习题

科目:高中数学 来源: 题型:

已知函数f(x)=ax+b,当x∈[a1,b1]时值域为[a2,b2],当x∈[a2,b2]时值域为[a3,b3],当x∈[an-1,bn-1]时值域为[an,bn]…其中a、b为常数,a1=0,b1=1
(1)若a=1,b=2,求数列{an}和{bn}的通项公式.
(2)若a>0,a≠1,要使数列{bn}是公比不为1的等比数列,求b的值.
(3)若a>0,设数列{an}和{bn}的前n项和分别为Sn和Tn,求Tn-Sn的值.

查看答案和解析>>

科目:高中数学 来源: 题型:

已知函数f(x)=
x+1-aa-x
,a∈R
.利用函数y=f(x)构造一个数列{xn},方法如下:对于定义域中给定的x1,令x2=f(x1),x3=f(x2),…,xn=f(xn-1)(n∈N*),…如果取定义域中任一值作为x1,都可以用上述方法构造出一个无穷数列{xn}.
(1)求实数a的值;
(2)若x1=1,求(x1+1)(x2+1)…(xn+1)的值;
(3)设Tn=(x1+1)(x2+1)…(xn+1)(n∈N*),试问:是否存在n使得Tn+Tn+1+…+Tn+2006=2006成立,若存在,试确定n及相应的x1的值;若不存在,请说明理由?

查看答案和解析>>

科目:高中数学 来源: 题型:

(2009•嘉定区一模)(理)已知函数f(x)=log2
2
x
1-x
,P1(x1,y1)、P2(x2,y2)是f(x)图象上两点.
(1)若x1+x2=1,求证:y1+y2为定值;
(2)设Tn=f(
1
n
)+f(
2
n
)+…+f(
n-1
n
)
,其中n∈N*且n≥2,求Tn关于n的解析式;
(3)对(2)中的Tn,设数列{an}满足a1=2,当n≥2时,an=4Tn+2,问是否存在角a,使不等式(1-
1
a1
)(1-
1
a2
)
(1-
1
an
)<
sinα
2n+1
对一切n∈N*都成立?若存在,求出角α的取值范围;若不存在,请说明理由.

查看答案和解析>>

科目:高中数学 来源:学习周报 数学 人教课标高二版(A必修5) 2009-2010学年 第5期 总第161期 人教课标版(A必修5) 题型:044

已知函数f(x)=(a,b为常数,a≠0),满足f(2)=1,且f(x)=x有两个相同的根.

(1)求f(x)的表达式;

(2)设数列{xn}满足xn+1=f(xn),且x1>0,证明数列{}是等差数列.

查看答案和解析>>

科目:高中数学 来源:2008年普通高等学校招生全国统一考试(福建卷)、数学(理) 题型:044

已知函数

(Ⅰ)设{an}是正数组成的数列,前n项和为Sn,其中a1=3.若点(n∈N*)在函数y的图象上,求证:点(nSn)也在y的图象上;

(Ⅱ)求函数f(x)在区间(a-1,a)内的极值.

查看答案和解析>>

同步练习册答案