精英家教网 > 高中数学 > 题目详情

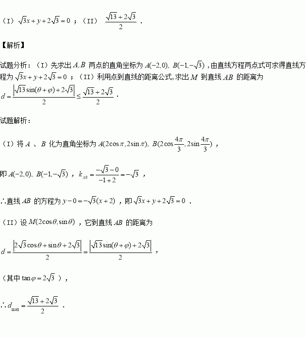
已知曲线的参数方程是,以坐标原点为极点,轴的正半轴为极轴建立极坐标系,的极坐标分别为.

(I)求直线的直角坐标方程;

(II)设为曲线上的点,求点到直线距离的最大值.

练习册系列答案
相关习题

科目:高中数学 来源:2016届黑龙江省高三下三模理科数学试卷(解析版) 题型:解答题

如图所示,为以为直径的圆的切线,为切点,为圆周上一点,,直线的延长线于点.

(1)求证:直线是圆的切线;

(2)若,求线段的长.

查看答案和解析>>

科目:高中数学 来源:2016届海南省高考模拟九文科数学试卷(解析版) 题型:选择题

甲、乙两人各写一张贺年卡随意送给丙、丁两人中的一人,则甲、乙将贺年卡送给同一人的概率是( )

A. B. C. D.

查看答案和解析>>

科目:高中数学 来源:2016届海南省高考模拟九理科数学试卷(解析版) 题型:选择题

某四面体的三视图如图所示,正视图、俯视图都是腰长为的等腰直角三角形,左视图是边长为的正方形,则此四面体的四个面中面积最大的为( )

A. B. C. D.

查看答案和解析>>

科目:高中数学 来源:2016届海南省高考模拟九理科数学试卷(解析版) 题型:选择题

甲、乙两人各写一张贺年卡随意送给丙、丁两人中的一人,则甲、乙将贺年卡送给同一人的概率是( )

A. B. C. D.

查看答案和解析>>

科目:高中数学 来源:2016届河南省商丘市高三三模理科数学试就(解析版) 题型:解答题

某小学对五年级的学生进行体质测试.已知五年级一班共有学生人,测试立定跳远的成绩用茎叶图表示如下:(单位:):

男生成绩在以上(包括)定义为“合格”,成绩在以下(不包含)定义为“不合格”.女生成绩在以上(包括)定义为“合格”,成绩在以下(不包含)定义为“不合格”.

(I)在五年级一班的男生中任意选取人,求至少有人的成绩是合格的概率;

(II)若从五年级一班成绩“合格”的学生中选取人参加复试.用表示其中男生的人数,写出的分布列,并求的数学期望.

查看答案和解析>>

科目:高中数学 来源:2016届河南省商丘市高三三模理科数学试就(解析版) 题型:选择题

已知直线过椭圆的上顶点和左焦点,且被圆截得的弦长为,若,则椭圆离心率的取值范围是( )

A. B. C. D.

查看答案和解析>>

科目:高中数学 来源:2015-2016学年天津市高一下期中数学试卷(解析版) 题型:填空题

中,角所对的边分别为,若,且,则角的大小为_______.

查看答案和解析>>

科目:高中数学 来源:2015-2016学年江西省高一5月月考理科数学试卷(解析版) 题型:填空题

已知,我们把使乘积为整数的数叫做“优数”,则在区间内的所有优数的和为

查看答案和解析>>

同步练习册答案