精英家教网 > 高中数学 > 题目详情

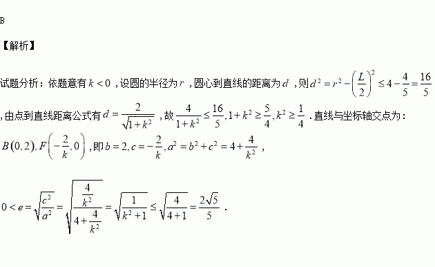
已知直线过椭圆的上顶点和左焦点,且被圆截得的弦长为,若,则椭圆离心率的取值范围是( )

A. B. C. D.

练习册系列答案
相关习题

科目:高中数学 来源:2016届黑龙江省高三下三模理科数学试卷(解析版) 题型:选择题

已知一个几何体的三视图如图所示,则这个几何体外接球体积与该几何体的体积比为( )

A. B. C. D.

查看答案和解析>>

科目:高中数学 来源:2016届海南省高考模拟九理科数学试卷(解析版) 题型:填空题

已知正项数列中,,且成等差数列,则的最小值为______.

查看答案和解析>>

科目:高中数学 来源:2016届河南省商丘市高三三模理科数学试就(解析版) 题型:解答题

已知曲线的参数方程是,以坐标原点为极点,轴的正半轴为极轴建立极坐标系,的极坐标分别为.

(I)求直线的直角坐标方程;

(II)设为曲线上的点,求点到直线距离的最大值.

查看答案和解析>>

科目:高中数学 来源:2016届河南省商丘市高三三模理科数学试就(解析版) 题型:填空题

三棱柱的底面是直角三角形,侧棱垂直于底面,面积最大的侧面是正方形,且正方形的中心是该三棱柱的外接球的球心,若外接球的表面积为,则三棱柱的最大体积为______.

查看答案和解析>>

科目:高中数学 来源:2016届河南省商丘市高三三模理科数学试就(解析版) 题型:选择题

已知抛物线与双曲线的一个交点为为抛物线的焦点,若,则该双曲线的渐近线方程为( )

A. B. C. D.

查看答案和解析>>

科目:高中数学 来源:2015-2016学年天津市高一下期中数学试卷(解析版) 题型:解答题

已知是正项数列的前项和,且.

(1)求数列的通项公式;

(2)若,求数列的前项和.

查看答案和解析>>

科目:高中数学 来源:2015-2016学年天津市高一下期中数学试卷(解析版) 题型:选择题

对于任意实数,下列结论中正确的是( )

①若,则;②若,则;③若,则;④若,则

A.① B.② C.③ D.④

查看答案和解析>>

科目:高中数学 来源:2015-2016学年江西省高一5月月考理科数学试卷(解析版) 题型:选择题

下列不等式中,解集为的是( )

A. B. C. D.

查看答案和解析>>

同步练习册答案