精英家教网 > 高中数学 > 题目详情
在等比数列{an}中,a1+a2=3,a2+a3=6,则a3+a4=( )
A.-12
B.-9
C.9
D.12
【答案】分析:给出的数列为等比数列,则a1+a2,a2+a3,a3+a4仍构成等比数列,直接由等比中项的概念求解.
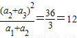
解答:解:在等比数列{an}中,由a1+a2=3,a2+a3=6,
所以a3+a4=
故选D.
点评:本题考查了等比数列的通项公式,考查了等比数列的性质,解答此题的关键是掌握a1+a2,a2+a3,a3+a4仍构成等比数列,是基础题.
练习册系列答案
相关习题

科目:高中数学 来源: 题型:

在等比数列{an}中,a4=
2
3
 , a3+a5=
20
9

(1)求数列{an}的通项公式;
(2)若数列{an}的公比大于1,且bn=log3
an
2
,求数列{bn}的前n项和Sn

查看答案和解析>>

科目:高中数学 来源: 题型:

在等比数列{an}中,若a1=1,公比q=2,则a12+a22+…+an2=(  )
A、(2n-1)2
B、
1
3
(2n-1)
C、4n-1
D、
1
3
(4n-1)

查看答案和解析>>

科目:高中数学 来源: 题型:

在等比数列{an}中,如果a1+a3=4,a2+a4=8,那么该数列的前8项和为(  )

查看答案和解析>>

科目:高中数学 来源: 题型:

在等比数列{an}中,a1=1,8a2+a5=0,数列{
1
an
}
的前n项和为Sn,则S5=(  )

查看答案和解析>>

科目:高中数学 来源: 题型:

在等比数列{an}中,an>0且a2=1-a1,a4=9-a3,则a5+a6=
81
81

查看答案和解析>>

同步练习册答案