精英家教网 > 高中数学 > 题目详情

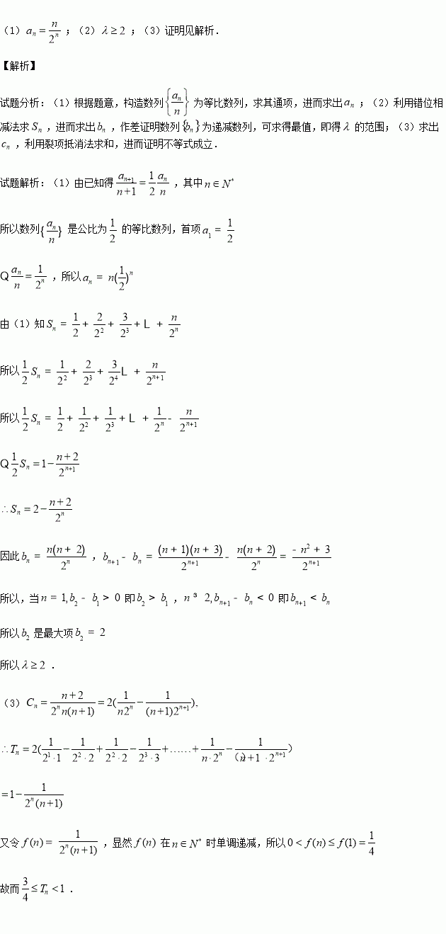
已知数列的前项和为,且

(1)求的通项公式;

(2)设,若恒成立,求实数的取值范围;

(3)设,是数列的前项和,证明

练习册系列答案
相关习题

科目:高中数学 来源:2015-2016学年四川省高一上学期第一学月考数学试卷(解析版) 题型:解答题

(本小题满分10分)如图,有一块半径为2的半圆形纸片,计划剪裁成等腰梯形ABCD的形状,它的下底AB是⊙O的直径,上底CD的端点在圆周上,设CD=2x,梯形ABCD的周长为y.

(1)求出y关于x的函数f(x)的解析式;

(2)求y的最大值,并指出相应的x值.

查看答案和解析>>

科目:高中数学 来源:2015-2016学年广东省普宁市高一上学期期中考试数学试卷(解析版) 题型:选择题

若偶函数上是增函数,则下列关系式中成立的是( )

A.

B.

C.

D.

查看答案和解析>>

科目:高中数学 来源:2016届湖南省常德市高三上第五次月考文科数学试卷(解析版) 题型:解答题

已知圆C的极坐标方程为,直线的参数方程为(t为参数,

(1)求直线的普通方程和圆C的直角坐标方程;

(2)求直线与圆C相交的弦长.

查看答案和解析>>

科目:高中数学 来源:2016届湖南省常德市高三上第五次月考理科数学试卷(解析版) 题型:选择题

设函数在R上存在导数,有 ,在,若,则实数m的取值范围是( )

(A) (B)

(C) (D)

查看答案和解析>>

科目:高中数学 来源:2015-2016学年湖南师大附中高二上学期第三次检测数学卷(解析版) 题型:解答题

已知函数

(1)求的单调区间;

(2)若方程有四个不等实根,求实数的取值范围.

查看答案和解析>>

科目:高中数学 来源:2016届湖南省长沙市高三上学期月考五文科数学试卷(解析版) 题型:解答题

如图所示,AD⊥平面ABC,CE⊥平面ABC,AC=AD=AB=1,,凸多面体ABCED的体积为,F为BC的中点.

(1)求证:AF∥平面BDE;

(2)求证:平面BDE⊥平面BCE.

查看答案和解析>>

科目:高中数学 来源:2015-2016学年四川省雅安市高二11月月考文科数学试卷(解析版) 题型:填空题

给出下列命题:

①存在实数,使

②函数是偶函数;

③直线是函数的一条对称轴;

④若是第一象限的角,且,则

其中正确命题的序号是__ _____.

查看答案和解析>>

科目:高中数学 来源:2015-2016学年山东省淄博市高一上学期期中考试数学试卷(解析版) 题型:选择题

下列关系式中,正确的是( )

A.

B.

C.

D.

查看答案和解析>>

同步练习册答案