精英家教网 > 高中数学 > 题目详情

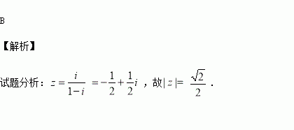
若复数,则( )

A. B.1 C. D.

练习册系列答案
相关习题

科目:高中数学 来源:2015-2016学年贵州黔南州高一下学期期末数学试卷(解析版) 题型:选择题

一个几何体的三视图如图所示,则该几何体可以是( )

A、圆柱 B、圆台 C、棱柱 D、棱台

查看答案和解析>>

科目:高中数学 来源:2015-2016学年广东汕头市高一下学期期末数学试卷(解析版) 题型:选择题

要得到的图象,只需将的图象( )

A.向左平移个单位 B.向右平移个单位

C. 向左平移个单位 D.向右平移个单位

查看答案和解析>>

科目:高中数学 来源:2016届陕西黄陵中学高三下二模考试数学(理)试卷(解析版) 题型:填空题

一个无上盖容器的三视图如下图所示,则该几何体的表面积为__________.

查看答案和解析>>

科目:高中数学 来源:2016届陕西黄陵中学高三下二模考试数学(理)试卷(解析版) 题型:选择题

已知两条直线,且,则直线

一个方向向量是( )

A. B. C. D.

查看答案和解析>>

科目:高中数学 来源:2017届河南新乡一中高三上学期周考9.18数学(文)试卷(解析版) 题型:选择题

是等差数列的前项和,若,则( )

A.1 B.2 C.3 D.4

查看答案和解析>>

科目:高中数学 来源:2017届甘肃武威二中高三上学期月考二数学(文)试卷(解析版) 题型:解答题

已知定义在上的函数的图象关于原点对称,且函数上为减函数.

(1)证明:当时,

(2)若,求实数的取值范围.

查看答案和解析>>

科目:高中数学 来源:2017届甘肃武威二中高三上学期月考二数学(文)试卷(解析版) 题型:选择题

已知 ,则的值为( )

A. B.2 C. D.-1

查看答案和解析>>

科目:高中数学 来源:2016届浙江稽阳联谊学校高三4月联考数学(理)试卷(解析版) 题型:选择题

已知集合,则( )

A. B. C. D.

查看答案和解析>>

同步练习册答案