精英家教网 > 高中数学 > 题目详情

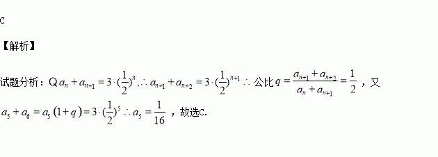
在等比数列中,若有,则( )

A. B. C. D.

练习册系列答案
相关习题

科目:高中数学 来源:2015-2016学年黑龙江省高二下期中文数学试卷(解析版) 题型:选择题

设函数在定义域内可导,的图象如右图所示,则函数的图象可能是( )

查看答案和解析>>

科目:高中数学 来源:2015-2016学年黑龙江大庆一中高二下第二次段考文数学卷(解析版) 题型:选择题

,且恒成立,则的最大值是( )

A.1 B.4 C.6 D.9

查看答案和解析>>

科目:高中数学 来源:2016届辽宁大连八中、二十四中高三联合模拟理数学试卷(解析版) 题型:选择题

过抛物线的焦点的直线交抛物线于两点,分别过两点作准线的垂线,垂足分别为两点,以线段为直径的圆过点,则圆的方程为( )

A. B.

C. D.

查看答案和解析>>

科目:高中数学 来源:2016届辽宁大连八中、二十四中高三联合模拟理数学试卷(解析版) 题型:选择题

已知集合,则集合( )

A. B. C. D.

查看答案和解析>>

科目:高中数学 来源:2015-2016学年湖北省高二3月月考文科数学试卷(解析版) 题型:填空题

已知圆

轴上的动点,当最大时,点坐标为;

②过任作一条直线,与圆交于,则;

③过任作一条直线,与圆交于,则成立;

④任作一条直线与圆交于,则仍有.上述说法正确的是____________.

查看答案和解析>>

科目:高中数学 来源:2015-2016学年湖北省高二3月月考理科数学试卷(解析版) 题型:解答题

已知函数

(I)若的极值点,求实数的值;

(II)若上为增函数,求实数的取值范围;

(III)当时,方程有实根,求实数的最大值.

查看答案和解析>>

科目:高中数学 来源:2015-2016学年贵州省高一下期中数学试卷(解析版) 题型:选择题

已知集合,则

A. B. C. D.

查看答案和解析>>

同步练习册答案