精英家教网 > 高中数学 > 题目详情

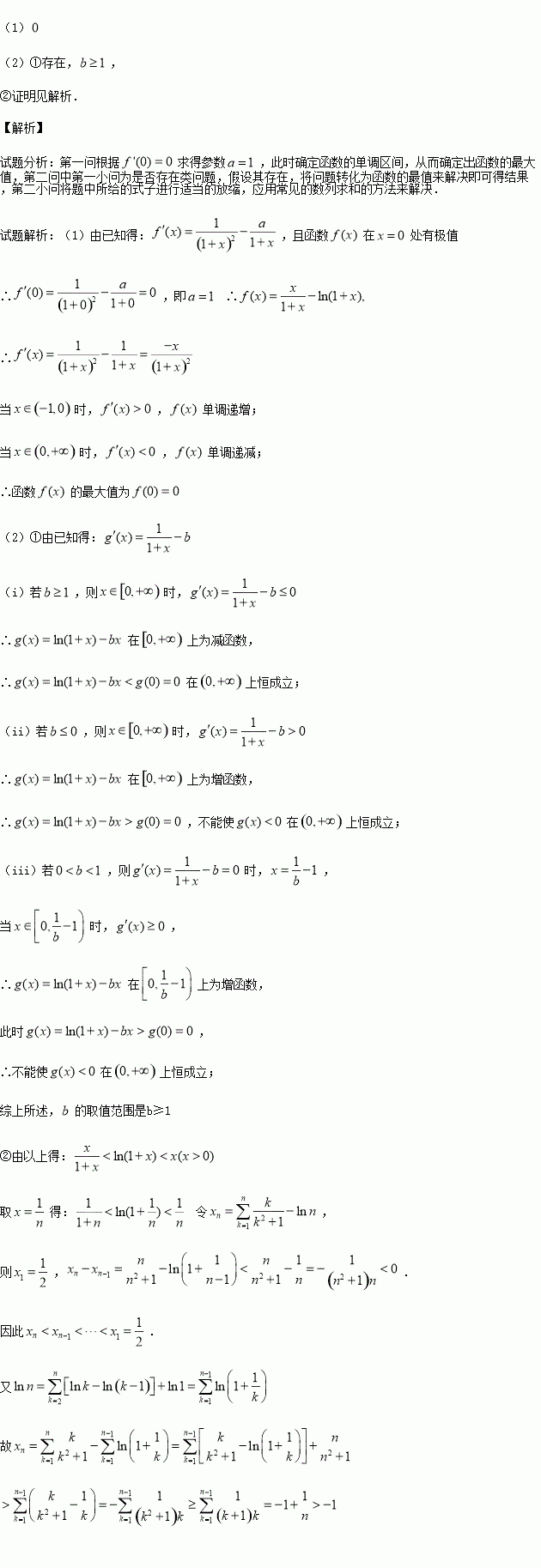
(本小题满分12分)设函数

(1)若函数处有极值,求函数的最大值;

(2)①是否存在实数,使得关于的不等式上恒成立?若存在,求出的取值范围;若不存在,说明理由;

②证明:不等式

练习册系列答案
相关习题

科目:高中数学 来源:2016届山东省高三上学期开学考试理科数学试卷(解析版) 题型:填空题

设动点满足,则的最大值是

查看答案和解析>>

科目:高中数学 来源:2016届湖北省等高三9月联考文科数学试卷(解析版) 题型:选择题

已知是实数,则函数的图象不可能是

查看答案和解析>>

科目:高中数学 来源:2016届黑龙江省高三第一段考理科数学试卷(解析版) 题型:选择题

直线与曲线在第一象限内围成的封闭图形的面积为( )

A. B. C.2 D.4

查看答案和解析>>

科目:高中数学 来源:2016届河北省高三上第二次月考文科数学试卷A(解析版) 题型:解答题

(本小题满分12分)已知向量,若函数

(1)求的最小正周期;

(2)若,求的单调减区间.

查看答案和解析>>

科目:高中数学 来源:2016届河北省高三上第二次月考理科数学试卷B(解析版) 题型:选择题

下列四个结论,其中正确结论的个数是( )

①命题“”的否定是“”;

②命题“若”的逆否命题为“若”;

③“命题为真”是“命题为真”的充分不必要条件;

④若,则恒成立.

A.1个 B.2个 C.3个 D.4个

查看答案和解析>>

科目:高中数学 来源:2016届福建省四地六校高三上学期10月联考文科数学试卷(解析版) 题型:解答题

(本小题满分12分)已知函数

(1)求函数的最小正周期;

(2)求函数的最大值及最小值;

(3)写出的单调递增区间.

查看答案和解析>>

科目:高中数学 来源:2013-2014学年辽宁省高考前最后模拟理科数学试卷(解析版) 题型:解答题

(本小题满分10分)选修4-4:坐标系与参数方程

已知曲线为参数),为参数).

(1)化的方程为普通方程,并说明它们分别表示什么曲线;

(2)若上的点对应的参数为上的动点,求中点到直线为参数)距离的最小值.

查看答案和解析>>

科目:高中数学 来源:2016届河北省高三上第二次月考文科数学A卷(解析版) 题型:选择题

若O是△ABC所在平面内一点,且满足|-|=|+-2|,则△ABC一定是

A.等边三角形 B.直角三角形

C.等腰三角形 D.等腰直角三角形

查看答案和解析>>

同步练习册答案