精英家教网 > 高中数学 > 题目详情

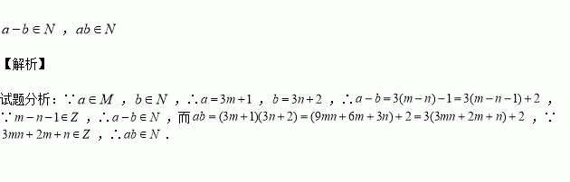
设集合,若,则 N; N.

练习册系列答案
相关习题

科目:高中数学 来源:2015-2016学年河北衡水冀州中学高二上学期第一次月考理科数学试卷(解析版) 题型:解答题

(本小题满分12分)

设数列的前项和,且成等差数列.

(1)求数列的通项公式;

(2)记数列的前n项和,求得成立的n的最小值.

查看答案和解析>>

科目:高中数学 来源:2015-2016学年湖南省高二下学期第一次月考理科数学试卷(解析版) 题型:填空题

不等式的解集是,则不等式的解集是___.

查看答案和解析>>

科目:高中数学 来源:2016届江西省名校学术联盟高三第一次调研一文科数学试卷(解析版) 题型:选择题

给出以下数阵,按各数排列规律,则的值为

A. B. C. D.326

查看答案和解析>>

科目:高中数学 来源:2016届江苏省高三第一阶段月考数学试卷(解析版) 题型:解答题

设二次函数 (,),

满足条件:①当时,,且

②当时,

③f(x)在R上的最小值为0.

求最大值m(),使得存在,只要,就有.

查看答案和解析>>

科目:高中数学 来源:2016届吉林省长春市高三质量监测文科数学试卷(解析版) 题型:选择题

已知向量满足,则 ( )

A. B. C. D.

查看答案和解析>>

科目:高中数学 来源:2016届吉林省长春市高三质量监测理科数学试卷(解析版) 题型:选择题

复数是虚数单位)的虚部为( )

A. B. C. D.

查看答案和解析>>

科目:高中数学 来源:2014-2015学年东北三省等三校高三第一次模拟理科数学试卷(解析版) 题型:选择题

复数()

A. B. C. D.

查看答案和解析>>

科目:高中数学 来源:2014-2015学年广西河池市高二下学期期末理科数学试卷(解析版) 题型:解答题

已知函数处取得极值.

(1)求a、b的值;

(2)求过点且与曲线相切的切线方程.

查看答案和解析>>

同步练习册答案