精英家教网 > 高中数学 > 题目详情

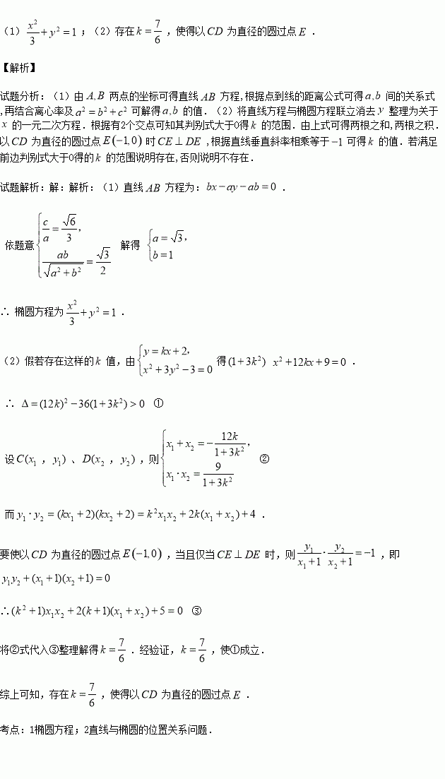
如图,已知椭圆(a>b>0)的离心率,过点的直线与原点的距离为

(1)求椭圆的方程.

(2)已知定点,若直线与椭圆交于C、D两点.问:是否存在k的值,使以CD为直径的圆过E点?请说明理由.

练习册系列答案
相关习题

科目:高中数学 来源:2015-2016学年内蒙古赤峰市高一9月月考数学试卷(解析版) 题型:解答题

已知函数

(1)若点(4,)在函数的图像上,求的值;

(2)若,判断函数的单调性,并证明;

(3)若,求的值域.

查看答案和解析>>

科目:高中数学 来源:2015-2016学年辽宁省葫芦岛市高一上学期期中考试数学试卷(解析版) 题型:填空题

已知幂函数的图象过点

查看答案和解析>>

科目:高中数学 来源:2015-2016学年湖南省高二上学期期中文科数学试卷(解析版) 题型:选择题

若θ∈[],cos2θ=﹣则sinθ=( )

A. B. C. D.

查看答案和解析>>

科目:高中数学 来源:2015-2016学年山东省高一上学期期中模块考试数学试卷(解析版) 题型:选择题

下列哪组中的两个函数是同一函数 ( )

A.

B.

C.

D.

查看答案和解析>>

科目:高中数学 来源:2015-2016学年吉林省扶余市高一上学期期中考试数学试卷(解析版) 题型:解答题

已知二次函数满足

(1)求的解析式;

(2)若上有最小值,最大值,求a的取值集合.

查看答案和解析>>

科目:高中数学 来源:2015-2016学年吉林省扶余市高二上学期期中考试文科数学试卷(解析版) 题型:选择题

设x>0,那么有( )

A.最大值1 B.最小值1 C.最大值5 D.最小值

查看答案和解析>>

科目:高中数学 来源:2015-2016学年福建省高一上学期期中考试数学试卷(解析版) 题型:选择题

已知映射,其中,对应法则.若对实数,

在集合中存在元素与之对应,则的取值范围是( )

A. B. C. D.

查看答案和解析>>

科目:高中数学 来源:2015-2016学年辽宁省大连市高二上期中理科数学试卷(解析版) 题型:选择题

下列所给点中,在方程表示的曲线上的是

(A) (B) (C) (D)

查看答案和解析>>

同步练习册答案