精英家教网 > 高中数学 > 题目详情

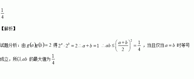
已知函数,且有,若,则的最大值为

练习册系列答案
相关习题

科目:高中数学 来源:2016届安徽省高三上第五次月考理科数学试卷(解析版) 题型:选择题

顶点在原点,对称轴为坐标轴,且过点的抛物线的标准方程是( )

A.

B.

C.

D.

查看答案和解析>>

科目:高中数学 来源:2016届河北省高三上学期期中考试文科数学试卷(解析版) 题型:选择题

已知锐角的终边上一点,则锐角=( )

A. B. C. D.

查看答案和解析>>

科目:高中数学 来源:2016届浙江省临海市高三上第三次统练文科数学试卷(解析版) 题型:填空题

规定记号“”表示一种运算,即.若,则函数的定义域是_______________,值域是_________________.

查看答案和解析>>

科目:高中数学 来源:2015-2016学年河北省邯郸市等校高二上学期期中文科数学试卷(解析版) 题型:解答题

正项数列满足

(1)求数列的通项公式;

(2)令,求数列的前项和

查看答案和解析>>

科目:高中数学 来源:2015-2016学年山东省高二上学期期中考试文科数学试卷(解析版) 题型:填空题

在△ 中,如果,那么△ 的面积等于

查看答案和解析>>

科目:高中数学 来源:2015-2016学年山东省高二上学期期中考试理科数学试卷(解析版) 题型:选择题

在△中, 分别为角所对的边,若,且,则( )

A. B. C. D.

查看答案和解析>>

科目:高中数学 来源:2015-2016学年江苏省沭阳县高一上学期期中考试数学试卷(解析版) 题型:解答题

已知函数的定义域为

(1)判断函数的单调性,并用定义给出证明;

(2)若实数满足,求的取值范围.

查看答案和解析>>

科目:高中数学 来源:2016届云南师大附中高考适应性月考四文科数学试卷(解析版) 题型:解答题

某校联合社团有高一学生126人,高二学生105人,高三学生42人,现

用分层抽样的方法从中抽取13人进行关于社团活动的问卷调查.设问题的选择分为“赞同”和“不赞同”两种,且每人都做出了一种选择.下面表格中提供了被调查学生答卷情况的部分信息.

(1)完成下列统计表:

(2)估计联合社团的学生中“赞同”的人数;

(3)从被调查的高二学生中选取2人进行访谈,求选到的两名学生中恰好有一人“赞同”的概率.

查看答案和解析>>

同步练习册答案