精英家教网 > 高中数学 > 题目详情

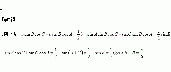
在△中, 分别为角所对的边,若,且,则( )

A. B. C. D.

练习册系列答案
相关习题

科目:高中数学 来源:2015-2016学年山东省高二上学情调查文科数学卷(解析版) 题型:选择题

在命题“若抛物线的开口向下,则”的逆命题、否命题、逆否命题中真命题的个数是( )

A.0 B.1 C.2 D.3

查看答案和解析>>

科目:高中数学 来源:2015-2016学年福建省高一上第二次月考数学试卷(解析版) 题型:填空题

下面五个命题中,其中正确的命题序号为

①函数的最小正周期

②函数的图象关于点对称;

③函数的图象关于直线对称;

④在内方程个解;

⑤在中,若

查看答案和解析>>

科目:高中数学 来源:2015-2016学年河北省邯郸市等校高二上学期期中理科数学试卷(解析版) 题型:填空题

已知函数,且有,若,则的最大值为

查看答案和解析>>

科目:高中数学 来源:2015-2016学年山东省高二上学期期中考试文科数学试卷(解析版) 题型:选择题

下列函数中,最小值为4的函数是( )

A.

B.

C.

D.

查看答案和解析>>

科目:高中数学 来源:2015-2016学年湖北省等高二上学期期中联考文科数学试卷(解析版) 题型:填空题

五位二进制能表示的最大的十进制数是___________.

查看答案和解析>>

科目:高中数学 来源:2015-2016学年浙江省温州市高二上学期期中考试数学试卷(解析版) 题型:填空题

已知直线,则轴上的截距是 ,直线间的距离是

查看答案和解析>>

科目:高中数学 来源:2015-2016学年湖南省高二上学期期中考试文科数学试卷(解析版) 题型:解答题

(本小题满分12分)已知关于x的不等式kx2-2x+6k<0(k≠0).

(1)若不等式的解集为{x|x<-3或x>-2},求k的值;

(2)若不等式的解集为R,求k的取值范围.

查看答案和解析>>

科目:高中数学 来源:2016届辽宁省大连市高三12月月考理科数学试卷(解析版) 题型:解答题

已知函数,过曲线上的点的比一切方程为

(1)若的表达式;

(2)若函数上单调递增,求b的取值范围

查看答案和解析>>

同步练习册答案