精英家教网 > 高中数学 > 题目详情

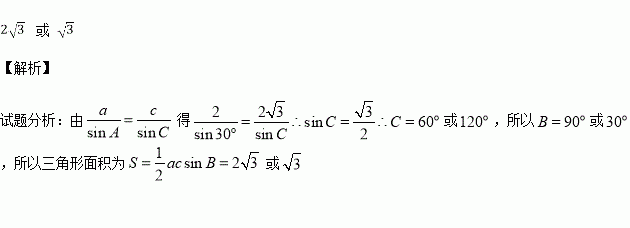
在△ 中,如果,那么△ 的面积等于

练习册系列答案
相关习题

科目:高中数学 来源:2015-2016学年湖南株洲二中高二上第三次月考文数学卷(解析版) 题型:选择题

要得到函数 的图象,只需要将函数的图象( )

A.向左平移个单位

B.向右平移个单位

C.向左平移个单位

D.向右平移个单位

查看答案和解析>>

科目:高中数学 来源:2016届河北省高三上学期期中考试理科数学试卷(解析版) 题型:选择题

已知命题p:函数的最小正周期为π;命题q:若函数f(x+1)为偶函数,则f(x)关于x=1对称.则下列命题是真命题的是( )

A.p∧q B.p∨q C.(¬p)∧(¬q) D.p∨(¬q)

查看答案和解析>>

科目:高中数学 来源:2015-2016学年河北省邯郸市等校高二上学期期中文科数学试卷(解析版) 题型:解答题

已知椭圆E:的焦点坐标为,点M()在椭圆E上.

(Ⅰ)求椭圆E的方程;

(Ⅱ)设Q(1,0),过Q点引直线与椭圆E交于两点,求线段中点的轨迹方程

查看答案和解析>>

科目:高中数学 来源:2015-2016学年河北省邯郸市等校高二上学期期中理科数学试卷(解析版) 题型:填空题

已知函数,且有,若,则的最大值为

查看答案和解析>>

科目:高中数学 来源:2015-2016学年山东省高二上学期期中考试理科数学试卷(解析版) 题型:解答题

设锐角三角形的内角的对边分别为

(1)求的大小;

(2)若,求

查看答案和解析>>

科目:高中数学 来源:2015-2016学年湖北省等高二上学期期中联考文科数学试卷(解析版) 题型:填空题

五位二进制能表示的最大的十进制数是___________.

查看答案和解析>>

科目:高中数学 来源:2015-2016学年湖北省襄阳市等高一上学期期中联考数学试卷(解析版) 题型:解答题

函数满足

(1)若,求的值域;

(2)令,判定函数的奇偶性,并证明.

查看答案和解析>>

科目:高中数学 来源:2016届云南师大附中高考适应性月考四文科数学试卷(解析版) 题型:选择题

某班级有50名学生,现用系统抽样的方法从这50名学生中抽出10名学生,将这50名学生随

机编号为1~50号,并按编号顺序平均分成10组(1~5号,6~10号,…,46~50号),若在第三组抽

到的编号是13,则在第七组抽到的编号是( )

A.23 B.33 C.43 D.53

查看答案和解析>>

同步练习册答案