精英家教网 > 高中数学 > 题目详情

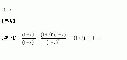
是虚数单位,则

练习册系列答案
相关习题

科目:高中数学 来源:2015-2016学年河南省高二上期中文科数学试卷(解析版) 题型:填空题

已知方程表示焦点在y轴上的椭圆,则实数k的取值范围是_______.

查看答案和解析>>

科目:高中数学 来源:2015-2016学年贵州省高二上滾动训练3数学试卷(解析版) 题型:解答题

设数列{an}的前n项和为Sn.已知a1=1,Sn+1=4an+2.

(1)设bn=an+1-2an,证明数列{bn}是等比数列;

(2)求数列{an}的通项公式.

查看答案和解析>>

科目:高中数学 来源:2015-2016学年广西桂林市高一上期中数学试卷(解析版) 题型:解答题

已知

(Ⅰ)若的单调递减区间;

(Ⅱ)若在区间上单调递增,求的取值范围.

查看答案和解析>>

科目:高中数学 来源:2015-2016学年广东省惠州市高二上期中理科数学试卷(解析版) 题型:填空题

如图所示,在边长为1的正方形中,随机撒1000粒豆子,有180粒落到阴影部分,据此估计阴影部分的面积为

查看答案和解析>>

科目:高中数学 来源:2015-2016学年安徽省蚌埠市高二上期中文科数学试卷(解析版) 题型:解答题

在正方体中,的中点.

(1)求证:平面

(2)求证:

查看答案和解析>>

科目:高中数学 来源:2015-2016学年安徽省蚌埠市高二上期中理科数学试卷(解析版) 题型:选择题

在三棱柱,各棱长相等,侧棱垂直与底面,点是侧面的中心,则与平面所成角的大小是 ( )

A. B. C. D.

查看答案和解析>>

科目:高中数学 来源:2016届山西省高三上期中文科数学试卷(解析版) 题型:选择题

若非零向量与向量的夹角为钝角,,且当时,)取最小值,则等于( )

A. B. C. D.

查看答案和解析>>

科目:高中数学 来源:2015-2016学年湖南株洲二中高二上第三次月考文数学卷(解析版) 题型:选择题

在区间上随机选取一个数,则的概率为( )

A、 B、 C、 D、

查看答案和解析>>

同步练习册答案