精英家教网 > 高中数学 > 题目详情

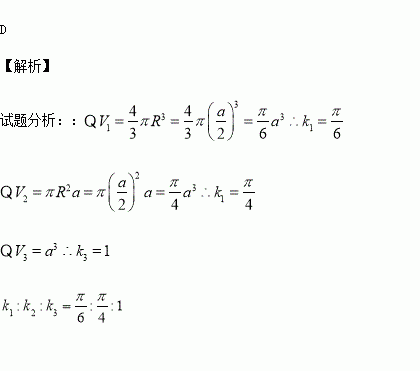
公元前世纪,古希腊欧几里得在《几何原本》里提出:“球的体积()与它的直径()的立方成正比”,此即,欧几里得未给出的值.世纪日本数学家们对求球的体积的方法还不了解,他们将体积公式中的常数称为“立圆率”或“玉积率”.类似地,对于等边圆柱(轴截面是正方形的圆柱)、正方体也可利用公式求体积(在等边圆柱中,表示底面圆的直径;在正方体中,表示棱长).假设运用此体积公式求得球(直径为)、等边圆柱(底面圆的直径为)、正方体(棱长为)的“玉积率”分别为,那么( )

A. B.

C. D.

练习册系列答案
相关习题

科目:高中数学 来源:2015-2016学年湖南省高二上学期期中文科数学试卷(解析版) 题型:填空题

已知等比数列{an}的前n项和,则{an}的通项公式是

查看答案和解析>>

科目:高中数学 来源:2015-2016学年重庆市高二上第一次月考理科数学试卷(解析版) 题型:解答题

(12分)某日用品按行业质量标准分成五个等级,等级系数依次为1,2,3,4,5.现从一批日用品中随机抽取20件,对其等级系数进行统计分析,得到频率分布表如表所示:

(1)求的值;

(2)从等级为4的2件日用品和等级为5的3件日用品中任取两件(假定每件日用品被取出的可能性相同),求这两件日用品的等级系数恰好相等的概率.

查看答案和解析>>

科目:高中数学 来源:2015-2016学年辽宁省大连市高二上期中理科数学试卷(解析版) 题型:解答题

(本小题满分10分)

已知命题“方程表示的曲线是椭圆”,命题“方程表示的曲线是双曲线”.且为真命题,为假命题,求实数的取值范围.

查看答案和解析>>

科目:高中数学 来源:2015-2016学年江西省等三校高二上第一次联考数学试卷(解析版) 题型:选择题

直线y=kx+3与圆(x-3)2+(y-2)2=4相交于M,N两点,若|MN|≥2,则k的取值范围是( )

A.[-,0] B.(-∞,-]∪[0,+∞)

C.[-] D.[-,0]

查看答案和解析>>

科目:高中数学 来源:2015-2016学年江西省赣州市十三县高二上期中联考理科数学试卷(解析版) 题型:填空题

200辆汽车通过某一段公路时的时速的频率分布直方图如右图所示,则这200辆汽车时速的中位数为

查看答案和解析>>

科目:高中数学 来源:2015-2016学年湖南省高一上学期期中考试数学试卷(解析版) 题型:选择题

满足“对任意实数都成立”的函数可以是 ( )

A. B. C. D.

查看答案和解析>>

科目:高中数学 来源:2015-2016学年河北省邢台市高二上第一次月考数学试卷(解析版) 题型:选择题

平面截球所得截面的面积为,球心到截面的距离为,此球的体积为( )

A、 B、 C、 D、

查看答案和解析>>

科目:高中数学 来源:2016届辽宁省葫芦岛市高三上学期期中理科数学试卷(解析版) 题型:解答题

(本小题满分10分)已知向量,函数

(Ⅰ)求函数的最小正周期

(Ⅱ)已知分别为内角的对边,其中为锐角,,且,求的面积

查看答案和解析>>

同步练习册答案