精英家教网 > 高中数学 > 题目详情
已知圆C的方程为x2+y2=1,直线l1过定点A(3,0),且与圆C相切。
(1)求直线l1的方程;
(2)设圆C与x轴交于P、Q两点,M是圆C上异于P、Q的任意一点,过点A且与x轴垂直的直线为l2,直线PM交直线l2于点P′,直线QM交直线l2于点Q′,求证:以P′Q′为直径的圆C′总过定点,并求出定点坐标.
解:(1)∵直线l1过点A(3,0),且与圆C:x2+y2=1相切,
设直线l1的方程为y=k(x-3),即kx-y-3k=0,
则圆心O(0,0)到直线l1的距离为d==1,解得k=±
∴直线l1的方程为y=±(x-3).
(2)对于圆C:x2+y2=1,令y=0,则x=±1,即P(-1,0),Q(1,0),
又直线l2过点A且与x轴垂直,
∴直线l2的方程为x=3,
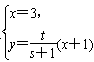
设M(s,t),则直线PM的方程为y=(x+1),
解方程组,得P′(3,),同理可得Q′(3,),
∴以P′Q′为直径的圆C′的方程为(x-3)(x-3)+(y-)(y-)=0,
又s2+t2=1,
∴整理得(x2+y2-6x+1)+y=0,
若圆C′经过定点,只需令y=0,从而有x2-6x+1=0,解得:x=3±2
∴圆C′总经过定点,定点坐标为(3±2,0).
练习册系列答案
相关习题

科目:高中数学 来源: 题型:

已知圆C的方程为x2+y2+4x-2y=0,经过点P(-4,-2)的直线l与圆C相交所得到的弦长为2,则直线l的方程为
 

查看答案和解析>>

科目:高中数学 来源: 题型:

(2013•乐山二模)已知圆C的方程为x2+y2+2x-2y+1=0,当圆心C到直线kx+y+4=0的距离最大时,k的值为(  )

查看答案和解析>>

科目:高中数学 来源: 题型:

已知圆C的方程为x2+y2=r2,在圆C上经过点P(x0,y0)的切线方程为x0x+y0y=r2.类比上述性质,则椭圆
x2
4
+
y2
12
=1
上经过点(1,3)的切线方程为
x+y-4=0
x+y-4=0

查看答案和解析>>

科目:高中数学 来源: 题型:

已知圆C的方程为x2+y2-2x+ay+1=0,且圆心在直线2x-y-1=0.
(1)求圆C的标准方程.
(2)若P点坐标为(2,3),求圆C的过P点的切线方程.

查看答案和解析>>

科目:高中数学 来源: 题型:

已知圆C的方程为x2+y2=4,过点M(2,4)作圆C的两条切线,切点分别为A,B,直线AB恰好经过椭圆T:
x2
a2
+
y2
b2
(a>b>0)
的右顶点和上顶点.
(1)求椭圆T的方程;
(2)是否存在斜率为
1
2
的直线l与曲线C交于P、Q两不同点,使得
OP
OQ
=
5
2
(O为坐标原点),若存在,求出直线l的方程,否则,说明理由.

查看答案和解析>>

同步练习册答案