精英家教网 > 高中数学 > 题目详情

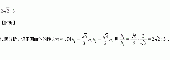
正四面体中,分别是它的高与斜高,则 .

练习册系列答案
相关习题

科目:高中数学 来源:2015-2016学年辽宁东北育才学校高二下期中文科数学试卷(解析版) 题型:选择题

,则的最小值是( )

A.1 B.2 C.3 D.4

查看答案和解析>>

科目:高中数学 来源:2015-2016学年辽宁省高一4月月考数学试卷(解析版) 题型:选择题

曲线与直线有两个交点,则的取值范围是( )

A. B. C. D.

查看答案和解析>>

科目:高中数学 来源:2016届江苏省高三考前一周双练冲刺四数学试卷(解析版) 题型:解答题

已知是数列的前项和,且对任意,有.其中为实数,且.

(1)当时,

①求数列的通项;

②是否存在这样的正整数,使得成等比数列?若存在,给出满足的条件,否则,请说明理由.

(2)当时,设

① 判定是否为等比数列;

②设,若恒成立,求的取值范围.

查看答案和解析>>

科目:高中数学 来源:2016届江苏省高三考前一周双练冲刺四数学试卷(解析版) 题型:填空题

已知函数,则 .

查看答案和解析>>

科目:高中数学 来源:2016届江苏省高三考前一周双练冲刺四数学试卷(解析版) 题型:填空题

设甲:,乙:,那么甲是乙的 条件.(填写:充分不必 要、必要不充分、既不充分也不必要或者充要)

查看答案和解析>>

科目:高中数学 来源:2015-2016学年四川彭州中学高一重点班5月月考数学试卷(解析版) 题型:解答题

的内角A、B、C所对的边分别为a、b、c,且.

(Ⅰ)求角A;

(Ⅱ)若,且的面积为,求的值.

查看答案和解析>>

科目:高中数学 来源:2015-2016学年四川彭州中学高一重点班5月月考数学试卷(解析版) 题型:选择题

设a,b,c∈R,且a>b则下列式子正确的是( )

A.ac>bc B. C.a2>b2 D.a+c>b+c

查看答案和解析>>

科目:高中数学 来源:2015-2016学年福建省高一下周末练数学试卷(解析版) 题型:选择题

下列命题中:①若互为负向量,则;②若为实数,且,则; ③若,则;④若为平行的向量,则;⑤若,则,其中假命题的个数为( )

A.个 B.个 C.个 D.

查看答案和解析>>

同步练习册答案