精英家教网 > 高中数学 > 题目详情

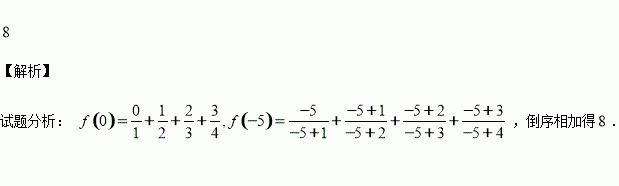
已知函数,则 .

练习册系列答案
相关习题

科目:高中数学 来源:2015-2016学年辽宁东北育才学校高二下期中文科数学试卷(解析版) 题型:填空题

若复数是纯虚数,则实数的值是

查看答案和解析>>

科目:高中数学 来源:2015-2016学年辽宁省高一4月月考数学试卷(解析版) 题型:填空题

对于定义域为D的函数,满足存在区间[],使在[]上的值域为[],求实数的取值范围__________

查看答案和解析>>

科目:高中数学 来源:2016届江苏省高三考前一周双练冲刺四数学试卷(解析版) 题型:解答题

已知甲乙两个盒内均装有大小相同、颜色不同的球若干,甲有1个红球和个黑球,乙盒内有大小相同的2个红球和4个黑球.现从甲、乙两个盒内各任取2个球.

(1)若取出的4个球均为黑球的概率为,求的值;

(2)在(1)的条件下,设为取出的4个球中红球的个数,求得分布列和数学期望.

查看答案和解析>>

科目:高中数学 来源:2016届江苏省高三考前一周双练冲刺四数学试卷(解析版) 题型:解答题

定义直线关于圆的圆心距单位:圆心到直线的距离与圆的半径之比.显然有:当直线与圆相交时,圆心距单位小于1;当直线与圆相切时,圆心距单位等于1;当直线与圆相离时,圆心距单位大于1.

(1)设圆,求过点的直线关于圆的圆心距单位的直线方程;

(2)若圆轴相切于点,且直线关于圆的圆心距单位,求此圆的方程;

(3)是否存在点,使过的任意两条互相垂直的直线分别关于相应两圆的圆心距单位始终相等?若存在,求出相应的点坐标;若不存在,请说明理由.

查看答案和解析>>

科目:高中数学 来源:2016届江苏省高三考前一周双练冲刺四数学试卷(解析版) 题型:填空题

正四面体中,分别是它的高与斜高,则 .

查看答案和解析>>

科目:高中数学 来源:2016届江苏省高三考前一周双练冲刺四数学试卷(解析版) 题型:填空题

若集合,则集合 .

查看答案和解析>>

科目:高中数学 来源:2015-2016学年四川彭州中学高一重点班5月月考数学试卷(解析版) 题型:选择题

函数f(x)= 的定义域为( )

A.(0,2) B.(-,0)∪(2,+∞)

C.(2,+∞) D.(0,]∪[2,+∞)

查看答案和解析>>

科目:高中数学 来源:2015-2016学年福建省高一下周末练数学试卷(解析版) 题型:选择题

向量,且共线,则可能是( )

A. B. C. D.

查看答案和解析>>

同步练习册答案