精英家教网 > 高中数学 > 题目详情

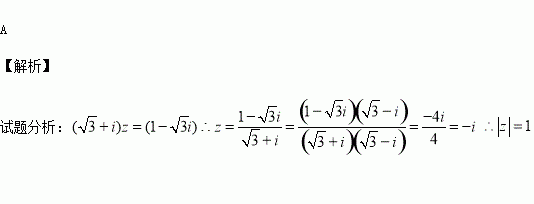
i为虚数单位,若,则=( )

A.1 B. C. D.2

练习册系列答案
相关习题

科目:高中数学 来源:2015-2016学年福建福州八中高二下期中文科数学试卷(解析版) 题型:选择题

观察下列事实|x|+|y|=1的不同整数解(x,y)的个数为4 , |x|+|y|=2的不同整数解(x,y)的个数为8, |x|+|y|=3的不同整数解(x,y)的个数为12 .则|x|+|y|=20的不同整数解(x,y)的个数为( )

A.76 B.80 C.86 D.92

查看答案和解析>>

科目:高中数学 来源:2015-2016学年黑龙江省高二下期中文科数学试卷(解析版) 题型:填空题

,则的取值范围是

查看答案和解析>>

科目:高中数学 来源:2015-2016学年福建省高二下期中文科数学试卷(解析版) 题型:解答题

在平面直角坐标系中,直线的参数方程为为参数).以原点为极点,轴正半轴为极轴建立极坐标系,圆的方程为

(Ⅰ)写出直线的普通方程和圆的直角坐标方程;

(Ⅱ)若点的直角坐标为,圆与直线交于两点,求的值.

查看答案和解析>>

科目:高中数学 来源:2015-2016学年福建省高二下期中文科数学试卷(解析版) 题型:选择题

设函数,则对任意实数的( )

A.充分必要条件

B.充分而非必要条件

C.必要而非充分条件

D.既非充分也非必要条件

查看答案和解析>>

科目:高中数学 来源:2015-2016学年福建省高二下期中文科数学试卷(解析版) 题型:选择题

设集合,则( )

A. B. C. D.

查看答案和解析>>

科目:高中数学 来源:2016届广西柳州市高三下4月模拟文科数学试卷(解析版) 题型:解答题

某城市城镇化改革过程中最近五年居民生活用水量逐年上升,下表是2011年至2015年的统计数据:

年份

2011

2012

2013

2014

2015

居民生活用水量(万吨)

236

246

257

276

286

(1)利用所给数据求年居民生活用水量与年份之间的回归直线方程

(2)根据改革方案,预计在2020年底城镇化改革结束,到时候居民的生活用水量将趋于稳定,预测该城市2023年的居民生活用水量.

最小二乘估计分别为:.

查看答案和解析>>

科目:高中数学 来源:2016届广西柳州市高三下4月模拟文科数学试卷(解析版) 题型:选择题

已知集合,则( )

A. B. C. D.

查看答案和解析>>

科目:高中数学 来源:2015-2016学年广东省惠州市高二下期中文科数学试卷(解析版) 题型:选择题

设不等式组表示的平面区域为,在区域内随机取一个点,则此点到坐标原点的距离小于的概率是( )

A. B. C. D.

查看答案和解析>>

同步练习册答案