精英家教网 > 高中数学 > 题目详情

(本小题满分12分)

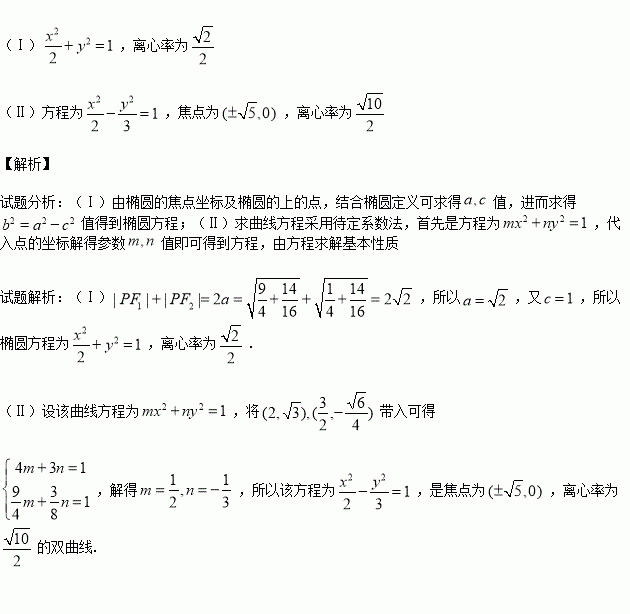
(Ⅰ)已知某椭圆的左右焦点分别为,且经过点,求该椭圆的标准方程以及离心率;

(Ⅱ)某圆锥曲线以坐标轴为对称轴,中心为坐标原点,且过点,求该曲线的标准方程、焦点以及离心率;

练习册系列答案
相关习题

科目:高中数学 来源:2015-2016学年江苏省无锡市四校高二上学期期中考试数学试卷(解析版) 题型:填空题

圆锥的表面积是底面积的3倍,则该圆锥的侧面展开图扇形的圆心角的弧度数为

查看答案和解析>>

科目:高中数学 来源:2015-2016学年福建省高二上学期期中考试文科数学试卷(解析版) 题型:选择题

已知数列{an}满足a1= 2,an+1-an=(n∈N+),则此数列的通项an等于( )

A.n2+1 B.n+1 C.1-n D.3-n

查看答案和解析>>

科目:高中数学 来源:2015-2016学年重庆市高二上第一次月考理科数学试卷(解析版) 题型:选择题

设集合,则( )

A. B. C. D.

查看答案和解析>>

科目:高中数学 来源:2015-2016学年辽宁省大连市高二上期中文科数学试卷(解析版) 题型:填空题

命题“如果一个双曲线的离心率为,则它的渐近线互相垂直”的否命题为________ .

查看答案和解析>>

科目:高中数学 来源:2015-2016学年江西省等三校高二上第一次联考数学试卷(解析版) 题型:解答题

(本小题满分12分)如图所示,正方体ABCD-A1B1C1D1中,P、Q分别是AD1、BD上的点,且AP=BQ,求证:PQ∥平面DCC1D1.

查看答案和解析>>

科目:高中数学 来源:2015-2016学年江西省赣州市十三县高二上期中联考文科数学试卷(解析版) 题型:选择题

已知内一点,满足, ,且,则的面积为( )

A. B. C. D.

查看答案和解析>>

科目:高中数学 来源:2015-2016学年湖北省宜昌市高二上期中文科数学试卷(解析版) 题型:选择题

已知点M()在圆外,则直线与圆的位置关系是( )

A.相离 B.相切 C.相交 D.不确定

查看答案和解析>>

科目:高中数学 来源:2016届云南省玉溪市高三上学期期中文科数学试卷(解析版) 题型:选择题

若实数满足不等式组,则目标函数的最大值为( )

A. B. C. D.

查看答案和解析>>

同步练习册答案