精英家教网 > 高中数学 > 题目详情
设等比数列{an} 的公比q=,前n项和为Sn,则=( )
A.14
B.15
C.
D.
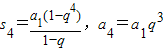
【答案】分析:先通过等比数列的求和公式,表示出S4,得知a4=a1q3,进而把a1和q代入 约分化简可得到答案.
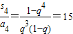
解答:解:对于

故选B.
点评:本题主要考查了等比数列中通项公式和求和公式的应用.属基础题.
练习册系列答案
相关习题

科目:高中数学 来源: 题型:

设等比数列{an}(n∈N)的公比q=-
1
2
,且
lim
n→∞
(a1+a3+a5+…+a2n-1)=
8
3
,则a1=
 

查看答案和解析>>

科目:高中数学 来源: 题型:

设等比数列{an}的前n项和为Sn,若S6:S3=3,则S9:S6=
 

查看答案和解析>>

科目:高中数学 来源: 题型:

设等比数列{an}的各项均为正数,其前n项和为Sn.若a1=1,a3=4,Sk=63,则k=
6
6

查看答案和解析>>

科目:高中数学 来源: 题型:

设等比数列{an}中,前n项和为Sn,已知S3=8,S6=7,则a6+a7+a8=(  )

查看答案和解析>>

科目:高中数学 来源: 题型:

(2007•深圳二模)设等比数列{an}的首项a1=256,前n项和为Sn,且Sn,Sn+2,Sn+1成等差数列.
(Ⅰ)求{an}的公比q;
(Ⅱ)用Πn表示{an}的前n项之积,即Πn=a1•a2…an,试比较Π7、Π8、Π9的大小.

查看答案和解析>>

同步练习册答案