精英家教网 > 高中数学 > 题目详情

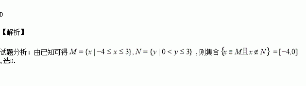
已知集合,则集合等于( )

A. B. C. D.

练习册系列答案
相关习题

科目:高中数学 来源:2016届湖北襄阳五中高三5月模拟理科数学试卷(解析版) 题型:解答题

选修4-4:坐标系与参数方程

已知极坐标系的极点与直角坐标系的原点重合,极轴与直角坐标系中轴的正半轴重合.若曲线的参数方程为为参数),直线的极坐标方程为.

(1)将曲线的参数方程化为极坐标方程;

(2)由直线上一点向曲线引切线,求切线长的最小值.

查看答案和解析>>

科目:高中数学 来源:2016届湖北襄阳五中高三5月二模文科数学试卷(解析版) 题型:选择题

R,则“”是“为奇函数”的( )

A.充分而不必要条件

B.必要而不充分条件

C.充要条件

D.既不充分也不必要条件

查看答案和解析>>

科目:高中数学 来源:2016届宁夏高三下四模文科数学试卷(解析版) 题型:填空题

已知实数满足:,则的取值范围是______.

查看答案和解析>>

科目:高中数学 来源:2016届宁夏高三下四模文科数学试卷(解析版) 题型:选择题

某一简单几何体的三视图如图所示,该几何体的外接球的表面积是( )

A. B. C. D.

查看答案和解析>>

科目:高中数学 来源:2016届宁夏高三下四模理科数学试卷(解析版) 题型:解答题

已知抛物线经过点在点处的切线交轴于点,直线经过点且垂直于轴.

(Ⅰ)求线段的长;

(Ⅱ)设不经过点的动直线于点,交于点,若直线的斜率依次成等差数列,试问:是否过定点?请说明理由.

查看答案和解析>>

科目:高中数学 来源:2016届宁夏高三下四模理科数学试卷(解析版) 题型:填空题

记集合,构成的平面区域分别为M,N,现随机地向M中抛一粒豆子(大小忽略不计),则该豆子落入N中的概率为_____.

查看答案和解析>>

科目:高中数学 来源:2016届湖北荆门龙泉中学高三5月月考文科数学试卷(解析版) 题型:解答题

如图,在四棱锥中,平面,四边形为正方形,点分别为线段上的点,

(1)求证:平面平面

(2)求证:当点 不与点重合时,平面

(3)当时,求点到直线距离的最小值.

查看答案和解析>>

科目:高中数学 来源:2016届宁夏高三四模理科数学试卷(解析版) 题型:解答题

如图,四边形是圆的内接四边形,是圆的直径,的延长线与的延长线交于点,过,垂足为点.

(Ⅰ)证明: 是圆的切线;

(Ⅱ)若,求的长.

查看答案和解析>>

同步练习册答案