精英家教网 > 高中数学 > 题目详情

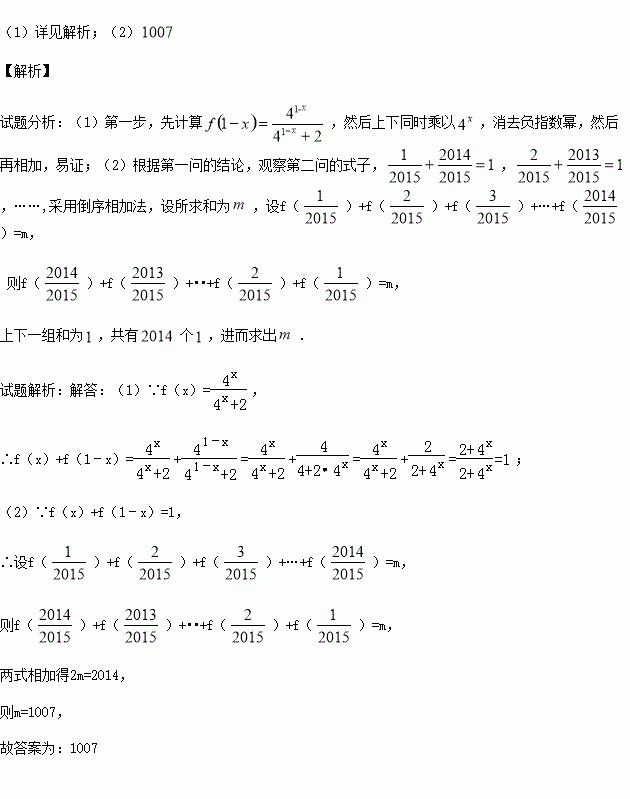
设函数f(x)=,则:

(1)证明:f(x)+f(1﹣x)=1;

(2)计算:f()+f()+f()+…+f().

练习册系列答案
相关习题

科目:高中数学 来源:2016届河北省邯郸市高三一轮收官考试一理科数学试卷(解析版) 题型:选择题

用斜二测画法作出一个三角形的直观图,则原三角形面积是直观图面积的( )

A.倍 B.倍 C.倍 D.

查看答案和解析>>

科目:高中数学 来源:2015-2016学年西藏日喀则一中高二12月理科数学试卷(解析版) 题型:解答题

若某产品的直径长与标准值的差的绝对值不超过时,则视为合格品,否则视为不合格品.在近期一次产品抽样检查中,从某厂生产的此种产品中,随机抽取5000件进行检测,结果发现有50件不合格品.计算这50件不合格品的直径长与标准值的差(单位:)将所得数据分组,得到如下频率分布表:

(1)将上面表格中缺少的数据填充完整;

(2)估计该厂生产的此种产品中,不合格的直径长与标准值的差落在区间内的概率

(3)现对该厂这种产品的某个批次进行检查,结果发现有20件不合格品,据此估算这批产品中的合格品的件数.

查看答案和解析>>

科目:高中数学 来源:2015-2016学年辽宁省葫芦岛市高二上期中理科数学卷(解析版) 题型:解答题

已知为抛物线上一动点,为其对称轴上一点,直线与抛物线的另一个交点为.当为抛物线的焦点且直线与其对称轴垂直时,△的面积为

(1)求抛物线的标准方程;

(2)记,若的值与点位置无关,则称此时的点A为“稳定点”,试求出所有“稳

定点”,若没有,请说明理由.

查看答案和解析>>

科目:高中数学 来源:2015-2016学年江西省高一重点上期中数学卷(解析版) 题型:填空题

,则a的取值范围是________.

查看答案和解析>>

科目:高中数学 来源:2015-2016学年江西高安中学高二重点上期中文数学卷(解析版) 题型:填空题

设有关于的一元二次方程

(Ⅰ)是从四个数中任取的一个数,是从三个数中任取的一个数,求上述方程有实根的概率;

(Ⅱ)若是从区间任取的一个数,是从区间任取的一个数,求上述方程有实根的概率.

查看答案和解析>>

科目:高中数学 来源:2015-2016学年江西省高二上期中理科数学卷(解析版) 题型:填空题

双曲线的离心率,则双曲线的渐近线方程为

查看答案和解析>>

科目:高中数学 来源:2015-2016学年黑龙江省高一上期末数学试卷(解析版) 题型:选择题

都是锐角,且,则等于( )

A. B. C. D.

查看答案和解析>>

科目:高中数学 来源:2016届浙江省等高三第一次五校联考文科数学试卷(解析版) 题型:解答题

已知函数

(1)当时,求函数的值域;

(2)设的内角的对应边分别为,且,若向量

与向量共线,求的值.

查看答案和解析>>

同步练习册答案