精英家教网 > 高中数学 > 题目详情

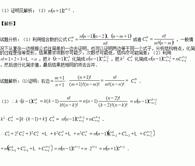
(1)求证:

(2)求和:

练习册系列答案
相关习题

科目:高中数学 来源:2016届山西省高三10月月考理科数学试卷(解析版) 题型:解答题

如图,在多面体中,为菱形,平面平面的中点,若平面

(1)求证:平面

(2)若,求二面角的余弦值.

查看答案和解析>>

科目:高中数学 来源:2015-2016学年江西省吉安市高一上学期期中数学试卷(解析版) 题型:选择题

表示a,b两个数中的最小值,设,则的最大值为( )

A.-2 B.-3 C.-4 D.-6

查看答案和解析>>

科目:高中数学 来源:2015-2016学年吉林省高一上期中文科数学试卷(解析版) 题型:选择题

的值等于( )

A. B. C. D.

查看答案和解析>>

科目:高中数学 来源:2015-2016学年湖北孝感高中高二上学期期中文科数学试卷(解析版) 题型:解答题

海关对同时从三个不同地区进口的某种商品进行抽样检测,从各地区进口此种商品的数量(单位:件)如下表所示,工作人员用分层抽样的方法从这些商品中共抽取6件进行检测.

地区

数量

50

150

100

(1)求这6件样品中来自各地区商品的数量;

(2)若在这6件样品中随机抽取2件送往甲机构进一步检测,求这2件商品来自相同地区的概率.

查看答案和解析>>

科目:高中数学 来源:2015-2016学年广东汕头金山中学高一上学期期中数学试卷(解析版) 题型:解答题

为实数,函数

(1)讨论的奇偶性;

(2)当时,求的最大值.

查看答案和解析>>

科目:高中数学 来源:2015-2016学年广东广州执信中学高一上学期期中数学试卷(解析版) 题型:选择题

德国著名数学家狄利克雷在数学领域成就显著,以其名命名的函数被称为狄利克雷函数,其中为实数集,为有理数集,则关于函数有如下四个结论:

②函数是偶函数;

③任取一个不为零的有理数对任意的恒成立;

④存在三个点,使得为等边三角形.

其中正确结论的个数是( )

A. B. C. D.

查看答案和解析>>

科目:高中数学 来源:2016届江西省高三上第三次考试理科数学试卷(解析版) 题型:选择题

为参数,函数是偶函数,则可取值的集合是( )

A.{0,5} B.{2,5} C.{5,2} D.{1,2015}

查看答案和解析>>

科目:高中数学 来源:2015-2016学年吉林长春十一中高一上学期期中文科数学卷(解析版) 题型:选择题

在直角坐标系中,一动点从点出发,沿单位圆(圆心在坐标原点半径为1的圆)圆周按逆时针方向运动弧长,到达点,则点的坐标为 ( )

A. B. C. D.

查看答案和解析>>

同步练习册答案