精英家教网 > 高中数学 > 题目详情

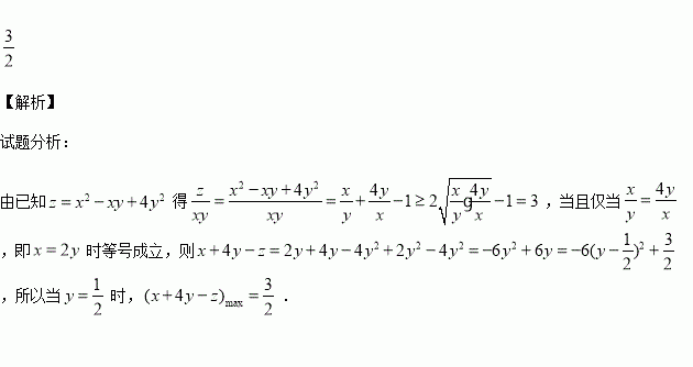
设正实数满足.则当取得最小值时,的最大值为__________________.

练习册系列答案
相关习题

科目:高中数学 来源:2015-2016学年吉林省高二11月月考理科数学卷(解析版) 题型:选择题

,则 ( )

A. B. C. D.

查看答案和解析>>

科目:高中数学 来源:2016届湖南省株洲市高三上学期期中理科数学试卷(解析版) 题型:选择题

已知实数x、y满足,如果目标函数的最小值为-1,则实数m=( ).

A、 6 B、5 C、4 D、3

查看答案和解析>>

科目:高中数学 来源:2016届福建省高三上学期期中考理科数学试卷(解析版) 题型:选择题

三个实数成等比数列,且,则的取值范围是( )

A. B. C. D.

查看答案和解析>>

科目:高中数学 来源:2015-2016学年山西省太原市高二12月月考数学试卷(解析版) 题型:解答题

已知椭圆的离心率为,点上.

(1)求的标准方程;

(2)设直线过点,当绕点旋转的过程中,与椭圆有两个交点,求线段的中点的轨迹方程.

查看答案和解析>>

科目:高中数学 来源:2015-2016学年湖南衡阳八中高二上第二次月考文科数学卷(解析版) 题型:解答题

今年“双节”期间,高速公路车辆较多,某调查公司在一服务区从七座以下小型汽车中按进服务区的先后每间隔50辆就抽取一辆的抽样方法抽取40名驾驶员进行询问调查,将他们在某段高速公路的车速分成六段:后得到如图的频率分布直方图.

(1)求这40辆小型车辆车速的众数和中位数的估计值;

(2)若从车速在的车辆中任抽取2辆,求车速在的车辆恰有一辆的概率.

查看答案和解析>>

科目:高中数学 来源:2015-2016学年湖南衡阳八中高二上第二次月考理科数学卷(解析版) 题型:选择题

若曲线上两个不同点处的切线重合,则称这条切线为曲线的“自公切线”.下列方程:①;②;③;④对应的曲线中存在“自公切线”的有( )

A.①② B.①④ C.②③ D.③④

查看答案和解析>>

科目:高中数学 来源:2016届四川省成都市高三11月阶段测试文科数学试卷(解析版) 题型:选择题

已知是双曲线的左、右两个焦点,以线段为直径的圆与双曲线的一条渐近线交于点M,与双曲线交于点N(点M,N均在第一象限),当直线与直线ON平行时,双曲线离心率取值为,则所在区间为( )

A. B. C. D.

查看答案和解析>>

科目:高中数学 来源:2016届福建省高三上学期半期考试理科数学试卷(解析版) 题型:选择题

已知定义域为的奇函数的导函数为,当

,则的大小关系是( )

A. B. C. D.

查看答案和解析>>

同步练习册答案