精英家教网 > 高中数学 > 题目详情

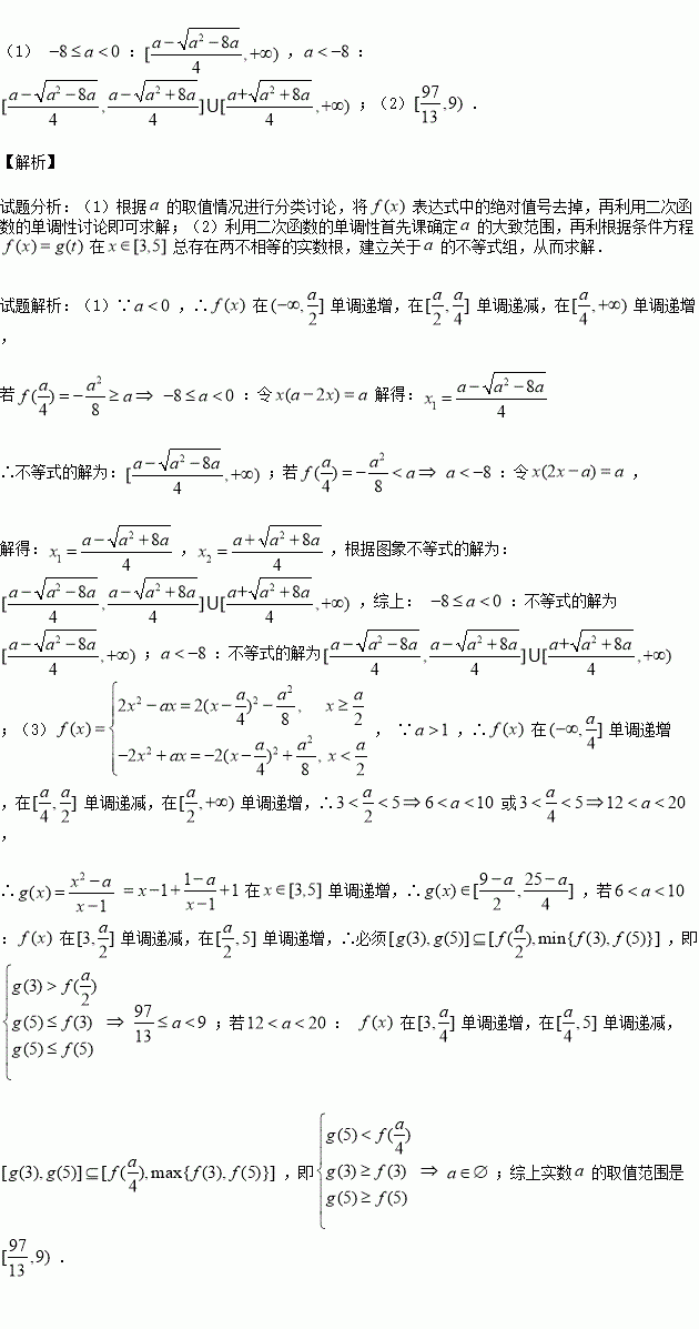
已知函数

(1)若,解不等式

(3)若,且对任意,方程总存在两不相等的实数根,求的取值范围.

练习册系列答案
相关习题

科目:高中数学 来源:2015-2016学年江西省高一创新上期中数学卷(解析版) 题型:解答题

已知函数f(x)=和函数g(x)=x|x﹣m|+2m﹣8,其中m为参数,且满足m≤5.

(1)若m=2,写出函数g(x)的单调区间(无需证明);

(2)若方程f(x)=在x∈[﹣2,+∞)上有唯一解,求实数m的取值范围;

(3)若对任意x1∈[4,+∞),存在x2∈(﹣∞,4],使得f(x2)=g(x1)成立,求实数m的取值范围.

查看答案和解析>>

科目:高中数学 来源:2015-2016学年河北省高二上期中理科数学试卷(解析版) 题型:选择题

用红、黄、蓝三种颜色给如图所示的六个相连的圆涂色,若每种颜色只能涂两个圆,且相邻两个圆所涂颜色不能相同,则不同的涂色方案的种数是( )

(A)12 (B)24 (C)30 (D)36

查看答案和解析>>

科目:高中数学 来源:2015-2016学年贵州省凯里市高二上期末理科数学试卷(解析版) 题型:选择题

命题“存在一个无理数,它的平方是有理数”的否定是( )

A.任意一个有理数,它的平方是有理数

B.任意一个无理数,它的平方不是有理数

C.存在一个有理数,它的平方是有理数

D.存在一个无理数,它的平方不是有理数

查看答案和解析>>

科目:高中数学 来源:2015-2016学年广东汕头金山中学高二上12月考理数学卷(解析版) 题型:选择题

如果方程表示焦点在y轴上的椭圆,则的取值范围是( )

A. B.

C. D.

查看答案和解析>>

科目:高中数学 来源:2016届浙江省等高三第一次五校联考理科数学试卷(解析版) 题型:解答题

在四棱锥中,平面,底面是梯形,

(1)求证:平面平面

(2)设为棱上一点,,试确定的值使得二面角

查看答案和解析>>

科目:高中数学 来源:2015-2016学年山东潍坊中学高二上学期期末理科数学试卷(解析版) 题型:选择题

若命题,则是( )

A.

B.

C.

D.

查看答案和解析>>

科目:高中数学 来源:2015-2016学年山西省临汾市高一12月月考数学试卷(解析版) 题型:解答题

已知集合,集合

(1)若,求实数的取值范围;

(2)若,求实数的取值范围.

查看答案和解析>>

科目:高中数学 来源:2015-2016学年宁夏石嘴山三中高二上期中理科数学试卷(解析版) 题型:选择题

一个年级有12个班,每个班的同学从1至50排学号,为了交流学习经验,要求每班学号为14

的同学留下进行交流,这里运用的是( )

A.系统抽样 B.分层抽样 C.抽签抽样 D.随机抽样

查看答案和解析>>

同步练习册答案