精英家教网 > 高中数学 > 题目详情

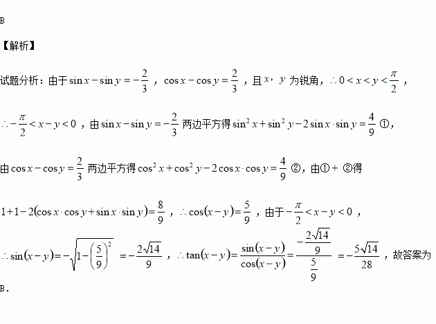
已知,且为锐角,则( )

A. B.- C.± D.±

练习册系列答案
相关习题

科目:高中数学 来源:2015-2016学年湖北孝感高中高二上学期期中文科数学试卷(解析版) 题型:选择题

执行如图所示的程序框图,如果输出,那么判断框内应填入的条件是

A.k≤6 B.k≤7 C.k≤8 D.k≤9

查看答案和解析>>

科目:高中数学 来源:2016届贵州省高三上学期第三次月考理科数学试卷(解析版) 题型:解答题

(本小题满分12分)

已知函数,其中

(1)若函数在区间内单调递增,求的取值范围;

(2)求函数在区间上的最小值;

(3)求证:对于任意的,且时,都有成立.

查看答案和解析>>

科目:高中数学 来源:2015-2016学年浙江慈溪中学高一1-3班上期中数学卷(解析版) 题型:解答题

已知函数),相邻两对称轴之间的距离为

(1)求函数的解析式;

(2)把函数的图象向右平移个单位,再纵坐标不变横坐标缩短到原来的后得到函数的图象,当 时,求函数的单调递增区间.

查看答案和解析>>

科目:高中数学 来源:2015-2016学年山东省高一上学期期中考试数试卷(解析版) 题型:选择题

已知函数,则的值为( )

A. B. C. D.

查看答案和解析>>

科目:高中数学 来源:2015-2016学年湖南衡阳八中高二上学期期中文科数学试卷(解析版) 题型:填空题

下面有四个命题:

①椭圆的短轴长为1;

②双曲线的焦点在轴上;

③设定点,动点满足条件,则动点的轨迹是椭圆;

④抛物线的焦点坐标是.

其中真命题的个数为:__________.

查看答案和解析>>

科目:高中数学 来源:2015-2016学年黑龙江哈尔滨师大附中高二上期中文数学卷(解析版) 题型:选择题

直线与椭圆相切,则的值为( )

A. B. C. D.

查看答案和解析>>

科目:高中数学 来源:2015-2016学年河北石家庄二中高一上学期期中数学试卷(解析版) 题型:选择题

已知上是的减函数,则的取值范围是( )

A. B. C. D.

查看答案和解析>>

科目:高中数学 来源:2016届四川省成都市高三11月段测三理科数学试卷(解析版) 题型:填空题

函数f(x)=的定义域为

查看答案和解析>>

同步练习册答案