精英家教网 > 高中数学 > 题目详情

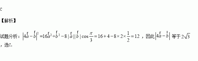
已知的夹角为,那么等于( )

A. B. C. D.

练习册系列答案
相关习题

科目:高中数学 来源:2016届河南省郑州市高三上学期联考理科数学试卷(解析版) 题型:解答题

选修4-1:几何证明选讲

如图,已知C点在⊙O直径的延长线上,CA切⊙O于A点,DC是∠ACB的平分线,交AE于F点,交AB于D点.

(Ⅰ)求∠ADF的度数;

(Ⅱ)若AB=AC,求AC:BC.

查看答案和解析>>

科目:高中数学 来源:2015-2016学年广东省汕头市高一上学期期中考试数学试卷(解析版) 题型:选择题

函数的零点所在的一个区间为

A. B. C. D.

查看答案和解析>>

科目:高中数学 来源:2016上海复旦大学附中届高三上期中文科数学试卷(解析版) 题型:填空题

已知圆锥的母线长为,侧面积为,则此圆锥的体积为________

查看答案和解析>>

科目:高中数学 来源:2016上海复旦大学附中届高三上期中理科数学试卷(解析版) 题型:填空题

的二项展开式中,含项的系数是___________.

查看答案和解析>>

科目:高中数学 来源:2016届河北省高三上学期四调理科数学试卷(解析版) 题型:选择题

设过曲线为自然对数的底数)上任意一点处的切线为,总存在过曲线上一点处的切线,使得,则实数的取值范围为( )

A. B. C. D.

查看答案和解析>>

科目:高中数学 来源:2015-2016学年吉林省高二11月月考文科数学卷(解析版) 题型:选择题

如果实数,满足约束条件,则的最大值为( )

A. B. C. D.

查看答案和解析>>

科目:高中数学 来源:2015-2016学年湖北武汉华中师大一附高二上期中理数学卷(解析版) 题型:选择题

若双曲线与直线无公共点,则离心率的取值范围是( )

A. B. C. D.

查看答案和解析>>

科目:高中数学 来源:2016届湖北武汉华中师大一附等高三上第一次联考理数学卷(解析版) 题型:选择题

已知集合,则( )

A. B. C. D.

查看答案和解析>>

同步练习册答案