精英家教网 > 高中数学 > 题目详情

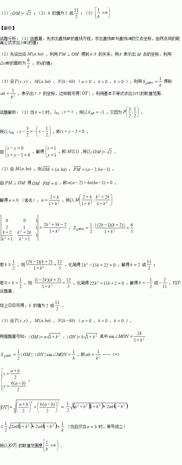
如图,射线所在的直线的方向向量分别为),点内,

(1)若,求的值;

(2)若,△的面积为,求的值;

(3)已知为常数,的中点为,且,当变化时,求的取值范围.

练习册系列答案
相关习题

科目:高中数学 来源:2016届湖南省六校高三12月联考文科数学卷(解析版) 题型:填空题

若曲线在点处的切线方程是,则

查看答案和解析>>

科目:高中数学 来源:2015-2016学年浙江慈溪中学高一7-12班上期中数学卷(解析版) 题型:选择题

存在函数满足,对任意都有( )

A. B.

C. D.

查看答案和解析>>

科目:高中数学 来源:2015-2016学年云南省高一上期中数学试卷(解析版) 题型:选择题

函数的定义域为( )

A. B. C. D.

查看答案和解析>>

科目:高中数学 来源:2015-2016学年上海师大附中高一上期中数学试卷(解析版) 题型:选择题

,且恒成立,则的最小值是( )

A. B. C. D.

查看答案和解析>>

科目:高中数学 来源:2015-2016学年上海师大附中高二上期中数学试卷(解析版) 题型:填空题

直线 关于轴对称的直线方程为________.

查看答案和解析>>

科目:高中数学 来源:2016届浙江省富阳市高三上学期第二次质量检测理科数学试卷(解析版) 题型:填空题

在正三棱柱中,若中点,则所成角的大小是

查看答案和解析>>

科目:高中数学 来源:2015-2016学年甘肃省高一上二段段中考试数学卷(解析版) 题型:选择题

如图,用一平面去截球所得截面的面积为,已知球心到该截面的距离为1,则该球的体积是( )

A.

查看答案和解析>>

科目:高中数学 来源:2015-2016学年浙江省高二上期中数学试卷(解析版) 题型:填空题

甲、乙两位同学玩游戏,对于给定的实数,按下列方法操作一次产生一个新的实数:由甲、乙同时各掷一枚均匀的硬币,如果出现两个正面朝上或两个反面朝上,则把乘以2后再减去12;如果出现一个正面朝上,一个反面朝上,则把除以2后再加上12,这样就可得到一个新的实数,对实数仍按上述方法进行一次操作,又得到一个新的实数,当时,甲获胜,否则乙获胜,若甲胜的概率为,则的取值范围是

查看答案和解析>>

同步练习册答案