精英家教网 > 高中数学 > 题目详情

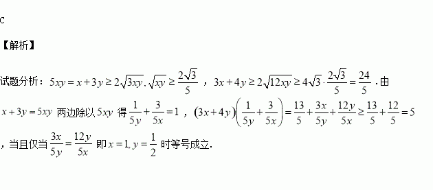
若正数满足,则的最小值是( )

A. B. C. 5 D. 6

练习册系列答案
相关习题

科目:高中数学 来源:2017届河南百校联盟高三9月质监乙卷数学(理)试卷(解析版) 题型:解答题

中,角的对边分别为,且

(1)求角的大小;

(2)若的面积为,求的值.

查看答案和解析>>

科目:高中数学 来源:2017届山东师大附中高三上学期一模考试数学(理)试卷(解析版) 题型:解答题

已知函数处有极值.

(Ⅰ)求的值;

(Ⅱ)求的单调区间.

查看答案和解析>>

科目:高中数学 来源:2017届山东潍坊中学高三上学期开学考数学(文)试卷(解析版) 题型:解答题

已知函数

(Ⅰ)当时,求曲线在点处的切线方程;

(Ⅱ)当时,试讨论函数的单调性;

(Ⅲ)设斜率为的直线与函数的图象交于两点),证明:

查看答案和解析>>

科目:高中数学 来源:2017届山东潍坊中学高三上学期开学考数学(文)试卷(解析版) 题型:填空题

已知函数上单调递减,则的取值范围为 .

查看答案和解析>>

科目:高中数学 来源:2017届山东潍坊中学高三上学期开学考数学(文)试卷(解析版) 题型:选择题

,则( )

A. B. C. D.

查看答案和解析>>

科目:高中数学 来源:2017届重庆市高三上学期入学考试数学(文)试卷(解析版) 题型:解答题

设函数

(1)求函数的单调区间;

(2)设是否存在极值,若存在,请求出极值;若不存在,请说明理由;

(3)当时.证明:

查看答案和解析>>

科目:高中数学 来源:2017届重庆市高三上学期入学考试数学(文)试卷(解析版) 题型:选择题

已知函数,若的取值范围是( )

A. B.

C. D.

查看答案和解析>>

科目:高中数学 来源:2015-2016学年东北育才学校高二下段考二试数学文试卷(解析版) 题型:选择题

已知的定义在的函数,对任意两个不相等的正数,都有,记,则( )

A. B. C. D.

查看答案和解析>>

同步练习册答案