精英家教网 > 高中数学 > 题目详情
数列{an}(n∈N*)中,a1=a,an+1是函数的极小值点,
(Ⅰ)当a=0时,求通项an
(Ⅱ)是否存在a,使数列{an}是等比数列?若存在,求a的取值范围;若不存在,请说明理由.

解:易知f′n(x)=x2-(3an+n2)x+3n2an=(x-3an)(x-n2),
令f′n(x)=0,得x1=3an,x2=n2
①若3an<n2,则当x<3an时,f′n(x)>0,fn(x)单调递增;
当3an<x<n2时, f′n(x)<0,fn(x)单调递减;
当x>n2时,f′n(x)>0,fn(x)单调递增;
故fn(x)在x=n2取得极小值.
②若3an>n2,仿①可得,fn(x)在x=3an取得极小值;
③若3an=n2,则f′n(x)≥0,fn(x)无极值。
(Ⅰ)当a=0时,a1=0,则3a1<12,由(1)知,a2=12=1,
因3a2=3<22,则由(1)知,a3=22=4,
因为3a3=12>32,则由(2)知,a4=3a3=3×4.
又因为3a4=36>42,则由(2)知,a5=3a4=32×4.
由此猜测:当n≥3时,an=4×3n-3
下面先用数学归纳法证明,当n≥3时,3an>n2
事实上,当n=3时,由前面的讨论知结论成立.
假设当n=k(k≥3)时,3ak>k2成立,
则由(2)知,ak+1=3ak>k2
从而3ak+1-(k+1)2>3k2-(k+1)2=2k(k-2)+2k-1>0,
所以3ak+1>(k+1)2
故当n≥3时,3an>n2成立;
于是由(2)知,当n≥3时,an+1=3an,而a3=4,因此an=4×3n-3
综上所述,当a=0时,a1=0,a2=1,an=4×3n-3(n≥3)。
(Ⅱ)存在a,使数列{an}是等比数列.
事实上,由(2)知,若对任意的n,都有3an>n2,则an+1=3an
即数列{an}是首项为a,公比为3的等比数列,且an=a·3n-1
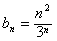
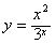
而要使3an≥n2,即a·3n>n2对一切n∈N*都成立,只需a>对一切n∈N*都成立,
,则
,则
因此,当x≥2时,y′<0,从而函数在[2,+∞)上单调递减;
故当n≥2时,数列{bn}单调递减,即数列{bn}中最大项为b2=
于是当a>时,必有,这说明,当a∈时,数列{an}是等比数列;
时,可得
而3a2=4=22,由(3)知,f2(x)无极值,不合题意;
时,可得a1=a,a2=3a,a3=4,a4=12,…,数列{an}不是等比数列;
时,3a=1=12,由(3)知,f1(x)无极值,不合题意;
时,可得a1=a,a2=1,a3=4,a4=12,…,数列{an}不是等比数列;
综上所述,存在a,使数列{an}是等比数列,且a的取值范围为

练习册系列答案
相关习题

科目:高中数学 来源: 题型:

设数列{an},{bn}满足:a1=4,a2=
5
2
an+1=
an+bn
2
bn+1=
2anbn
an+bn
.?
(1)用an表示an+1;并证明:?n∈N+,an>2;?
(2)证明:{ln
an+2
an-2
}
是等比数列;?
(3)设Sn是数列{an}的前n项和,当n≥2时,Sn2(n+
4
3
)
是否有确定的大小关系?若有,加以证明;若没有,请说明理由.

查看答案和解析>>

科目:高中数学 来源: 题型:

(1)求数列an=
n-1
2n
(n∈N*)
的前n项和Sn
(2)若Tn为数列{bn}的前n项和,且Tn=2bn+n2-3n-2,n∈N*,求bn
(3)在条件(2)下,设cn=
1
bn-n
,(n∈N*)
Mn为cn的前n项和,求证:Mn
37
44

查看答案和解析>>

科目:高中数学 来源: 题型:

已知点Pn(an,bn)都在直线l:y=2x+2上,P1为直线l与x轴的交点,数列{an}成等差数列,公差为1(n∈N*).
(I)求数列{an},{bn}的通项公式;
(Ⅱ)若f(n)=
an(n=2m+1)
bn(n=2m)
(m∈Z),问是否存在k∈N*,使得f(k+5)=2f(k)-2成立?若存在,求出k的值,若不存在,说明理由;
(Ⅲ)求证:
1
|P1P2|2
+
1
|P1P3|2
+…+
1
|P1Pn|2
2
5
(n≥2,n∈N*).

查看答案和解析>>

科目:高中数学 来源: 题型:

数列{an}(n∈N +)中,a1=0,an+1是函数f(x)=
1
3
x3-
1
2
(3an+n2)x2+3n2anx
的极小值点,则通项an=
(n-1)2,(n=1,2)
3•3n-3,(n≥3)
(n-1)2,(n=1,2)
3•3n-3,(n≥3)

查看答案和解析>>

科目:高中数学 来源: 题型:

(2013•北京)已知{an}是由非负整数组成的无穷数列,该数列前n项的最大值记为An,第n项之后各项an+1,an+2…的最小值记为Bn,dn=An-Bn
(Ⅰ)若{an}为2,1,4,3,2,1,4,3…,是一个周期为4的数列(即对任意n∈N*,an+4=an),写出d1,d2,d3,d4的值;
(Ⅱ)设d是非负整数,证明:dn=-d(n=1,2,3…)的充分必要条件为{an}是公差为d的等差数列;
(Ⅲ)证明:若a1=2,dn=1(n=1,2,3,…),则{an}的项只能是1或者2,且有无穷多项为1.

查看答案和解析>>

同步练习册答案