精英家教网 > 高中数学 > 题目详情

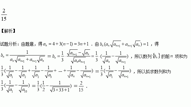
已知数列是首项为,公差为的等差数列,数列满足,则数列的前项的和为______.

练习册系列答案
相关习题

科目:高中数学 来源:2016届陕西省高三高考全真模拟(五)考试数学(文)试卷(解析版) 题型:填空题

已知是两条不同的直线, 是两个不同的平面,有下列个命题:

①若,且,则;②若,且,则

③若,且,则;④若,且,则

其中真命题的序号是____________.(填上你认为正确的所有命题的序号)

查看答案和解析>>

科目:高中数学 来源:2016届山西省高三高考考前质量检测考试(三)数学(文)试卷(解析版) 题型:解答题

设函数

(Ⅰ)当时,求曲线在点处的切线方程;

(Ⅱ)若对任意恒成立,求实数的取值范围.

查看答案和解析>>

科目:高中数学 来源:2016届山西省高三高考考前质量检测考试(三)数学(文)试卷(解析版) 题型:选择题

已知,若圆与双曲线有公共点,则该双曲线离心率的取值范围是( )

A. B. C. D.

查看答案和解析>>

科目:高中数学 来源:2016届山西省高三高考考前质量检测考试(三)数学(理)试卷(解析版) 题型:解答题

已知函数

(Ⅰ)当时,证明:

(Ⅱ)当时,恒成立,求正实数的值.

查看答案和解析>>

科目:高中数学 来源:2016届山西省高三高考考前质量检测考试(三)数学(理)试卷(解析版) 题型:选择题

在体积为的三棱锥中,,且平面平面,若该三棱锥的四个顶点都在同一球面上,则该球的体积为( )

A. B. C. D.

查看答案和解析>>

科目:高中数学 来源:2016届山西省高三高考考前质量检测考试(三)数学(理)试卷(解析版) 题型:选择题

为双曲线的渐近线位于第一象限上的一点,若点到该双曲线左焦点的距离为,则点到其右焦点的距离为( )

A. B. C. D.

查看答案和解析>>

科目:高中数学 来源:2015-2016学年浙江湖州中学高二下学期期中数学试卷(解析版) 题型:选择题

对于在上可导的任意函数,若其导函数为,且满足,则必有( )

A. B.

C. D.

查看答案和解析>>

科目:高中数学 来源:2017届宁夏高三上学期月考一数学(理)试卷(解析版) 题型:选择题

在等比数列中,,则能使不等式

成立的最大正整数是( )

A.5 B.6 C.7 D.8

查看答案和解析>>

同步练习册答案