精英家教网 > 高中数学 > 题目详情

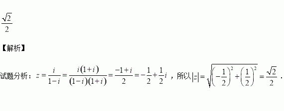
设复数 ,则_____________.

练习册系列答案
相关习题

科目:高中数学 来源:2015-2016学年山东省三箭分校高一上期末数学试卷(解析版) 题型:填空题

圆心在轴上且通过点(3,1)的圆与轴相切,则该圆的方程是 .

查看答案和解析>>

科目:高中数学 来源:2015-2016学年福建省高二下第一次月考文数学卷(解析版) 题型:解答题

在平面直角坐标系中,直线的参数方程为(t为参数),P、Q分别为直线与x轴、y轴的交点,线段PQ的中点为M.

(Ⅰ)求直线的直角坐标方程;

(Ⅱ)以坐标原点O为极点,x轴的正半轴为极轴建立极坐标系,求点M的极坐标和直线OM的极坐标方程.

查看答案和解析>>

科目:高中数学 来源:2015-2016学年福建省高二下第一次月考文数学卷(解析版) 题型:选择题

在复平面内,复数(i为虚数单位)对应的点在( )

A. 第一象限 B. 第二象限 C. 第三象限 D. 第四象限

查看答案和解析>>

科目:高中数学 来源:2015-2016学年福建省高二下第一次月考理数学卷(解析版) 题型:解答题

对于二项式(1-x)10, 求:

(1)展开式的中间项是第几项?写出这一项;

(2)求展开式中除常数项外,其余各项的系数和;

(3)写出展开式中系数最大的项.

查看答案和解析>>

科目:高中数学 来源:2015-2016学年福建省高二下第一次月考理数学卷(解析版) 题型:选择题

从10名高三年级优秀学生中挑选3人担任校长助理,则甲、乙至少有1人入选,而丙没有入选的不同选法的种数为( )

A. 85 B. 56 C. 49 D. 28

查看答案和解析>>

科目:高中数学 来源:2015-2016学年福建省高二下第一次月考理数学卷(解析版) 题型:选择题

复数在复平面上对应的点位于( )

A. 第一象限 B. 第二象限 C. 第三象限 D. 第四象限

查看答案和解析>>

科目:高中数学 来源:2016届河北省高三下第一次模拟理科数学试卷(解析版) 题型:选择题

满足不等式组,则的最大值是( )

A. B.1 C.2 D.3

查看答案和解析>>

科目:高中数学 来源:2015-2016学年湖南师大附中高二下第一次段测理数学试卷(解析版) 题型:选择题

设抛物线的焦点,过点的直线与抛物线相交于两点,与抛物线的准线相交于,则△与△的面积之比=( )

A. B. C. D.

查看答案和解析>>

同步练习册答案