精英家教网 > 高中数学 > 题目详情

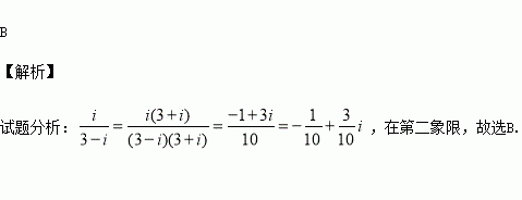
复数在复平面上对应的点位于( )

A. 第一象限 B. 第二象限 C. 第三象限 D. 第四象限

练习册系列答案
相关习题

科目:高中数学 来源:2015-2016学年山东省三箭分校高一上期末数学试卷(解析版) 题型:选择题

已知幂函数的图象经过点,则的值等于

A.16 B. C.2 D.

查看答案和解析>>

科目:高中数学 来源:2015-2016学年福建省高二下第一次月考文数学卷(解析版) 题型:选择题

执行右边的程序框图,输出S的值为( )

A. 14 B. 20 C. 30 D. 55

查看答案和解析>>

科目:高中数学 来源:2015-2016学年福建省高二下第一次月考理数学卷(解析版) 题型:填空题

设复数 ,则_____________.

查看答案和解析>>

科目:高中数学 来源:2015-2016学年福建省高二下第一次月考理数学卷(解析版) 题型:选择题

函数在定义域内可导,导函数的图象如图所示,则函数的图象可能为( )

查看答案和解析>>

科目:高中数学 来源:2016届河北省高三下第一次模拟理科数学试卷(解析版) 题型:解答题

已知两点,直线相交于点,且这两条直线的斜率之积为

(1)求点的轨迹方程;

(2)记点的轨迹为曲线,曲线上在第一象限的点的横坐标为1,直线与圆相切于点,又与曲线的另一交点分别为,求的面积的最大值(其中点为坐标原点).

查看答案和解析>>

科目:高中数学 来源:2016届河北省高三下第一次模拟理科数学试卷(解析版) 题型:选择题

若直角坐标平面内两点满足条件:①都在函数的图象上;②关于原点对称,则称是函数的一个“伙伴点组”(点组看作同一个“伙伴点组”).已知函数,有两个“伙伴点组”,则实数的取值范围是( )

A. B. C. D.

查看答案和解析>>

科目:高中数学 来源:2015-2016学年青海省高一4月月考数学试卷(解析版) 题型:解答题

某算法的程序框图如图所示,其中输入的变量在1,2,3,…30这30个整数中等可能随机产生.

(1)分别求出(按程序框图正确编程运行时)输出的值为的概率

(2)甲、乙两同学依据自己对程序框图的理解,各自编写程序重复运行次后,统计记录了输出的值为的频数,下面是甲、乙所作频数统计表的部分数据:

甲的频数统计表(部分)

乙的频数统计表(部分)

时,根据表中的数据,分别写出甲、乙所编程序各自输出的值为的频率(用分数表示),并判断甲、乙中谁所编写的程序符合算法要求的可能性较大.

查看答案和解析>>

科目:高中数学 来源:2015-2016学年河北省高二下第一次月考理数学卷(解析版) 题型:解答题

已知数列的前n项和满足:,且.

(1)求

(2)猜想的通项公式,并用数学归纳法证明.

查看答案和解析>>

同步练习册答案