精英家教网 > 高中数学 > 题目详情
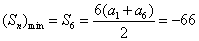
在等差数列{an}中,a3=-13,a7=3,数列{an}的前n项和为Sn,求数列{Sn}的最小项,并指出其值为何?
解:∵a3=-13,a7=3,
∴d=4,
∴an=4n-25

又n∈N,
∴n=6
练习册系列答案
相关习题

科目:高中数学 来源: 题型:

在等差数列{an}中,a1=-2010,其前n项的和为Sn.若
S2010
2010
-
S2008
2008
=2,则S2010=(  )

查看答案和解析>>

科目:高中数学 来源: 题型:

在等差数列{an}中,a1+3a8+a15=60,则2a9-a10的值为
12
12

查看答案和解析>>

科目:高中数学 来源: 题型:

已知在等差数列{an}中,d>0,a2008、a2009是方程x2-3x-5=0的两个根,那么使得前n项和Sn为负值的最大的n的值是(  )

查看答案和解析>>

科目:高中数学 来源: 题型:

在等差数列{an}中,已知a1=2,a2+a3=13,则a4+a5+a6等于=
42
42

查看答案和解析>>

科目:高中数学 来源: 题型:

在等差数列{an}中,若S4=1,S8=4,则a17+a18+a19+a20的值=
9
9

查看答案和解析>>

同步练习册答案