精英家教网 > 高中数学 > 题目详情

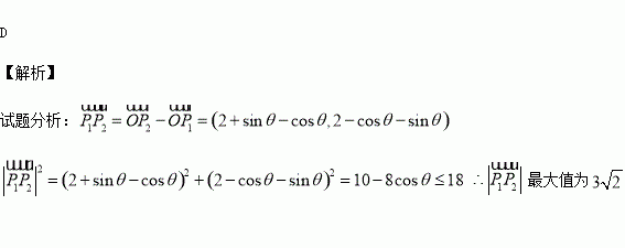
设0≤θ≤2π,向量=(cos θ,sin θ),=(2+sin θ,2-cos θ),则向量的模长的最大值为( )

A. B. C.2 D.3

练习册系列答案
相关习题

科目:高中数学 来源:2015-2016学年江苏省高一上第一次联考数学试卷(解析版) 题型:填空题

已知,设函数的最大值为,最小值为,那么

查看答案和解析>>

科目:高中数学 来源:2014-2015学年山东省高二下学期阶段性检测理科数学试卷(解析版) 题型:解答题

用数字组成没有重复数字的四位数.

(Ⅰ)可组成多少个不同的四位数?

(Ⅱ)可组成多少个不同的四位偶数?

(Ⅲ)将(Ⅰ)中的四位数按从小到大的顺序排成一数列,问第项是什么?

查看答案和解析>>

科目:高中数学 来源:2014-2015学年河北省高一5月月考数学试卷(解析版) 题型:选择题

一个圆锥的正视图和侧视图均为正三角形,其面积为S,则圆锥侧面面积为( )

A. B. C. D.

查看答案和解析>>

科目:高中数学 来源:2014-2015学年广东省湛江市高一下学期期末考试数学试卷(解析版) 题型:选择题

某校高中生共有2700人,其中高一年级900人,高二年级1200人,高三年级600人,现采取分层抽样法抽取容量为135的样本,那么高一、高二、高三各年级抽取的人数分别为

A.45,75,15 B.45,45,45 C.30,90,15 D.45,60,30

查看答案和解析>>

科目:高中数学 来源:2014-2015学年山西省高一下期末数学试卷(解析版) 题型:选择题

如果实数x,y满足约束条件,那么2x-y的最大值为

A.2 B.1 C.-2 D.-3

查看答案和解析>>

科目:高中数学 来源:2016届云南省高三适应性月考二文科数学试卷(解析版) 题型:选择题

已知双曲线C:的一条渐近线过点(一1,2),则C的离心率为( )

A. B. C. D.

查看答案和解析>>

科目:高中数学 来源:2016届四川省高三上学期10月段考理科数学试卷(解析版) 题型:选择题

函数f(x)=ln(x+1)—的一个零点所在的区间是( )

A.(0,1) B.(1,2) C.(2,3) D.(3,4)

查看答案和解析>>

科目:高中数学 来源:2015-2016学年甘肃省高一上学期期中数学试卷(解析版) 题型:填空题

设定义在上的偶函数在区间上单调递减,若,则实数的取值范围是________.

查看答案和解析>>

同步练习册答案