精英家教网 > 高中数学 > 题目详情

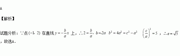
已知双曲线C:的一条渐近线过点(一1,2),则C的离心率为( )

A. B. C. D.

练习册系列答案
相关习题

科目:高中数学 来源:2015-2016学年江苏省高二上学期第一次学情调研数学试卷(解析版) 题型:填空题

点P(﹣1,2)在不等式2x+3y﹣b>0表示的区域内,则实数b的范围是      

查看答案和解析>>

科目:高中数学 来源:2014-2015学年河南省高二4月月考文科数学试卷(解析版) 题型:填空题

已知点,动点满足条件.记动点的轨迹方程为

查看答案和解析>>

科目:高中数学 来源:2014-2015学年广东省揭阳市高一下学期第二次段考理科数学试卷(解析版) 题型:选择题

设0≤θ≤2π,向量=(cos θ,sin θ),=(2+sin θ,2-cos θ),则向量的模长的最大值为( )

A. B. C.2 D.3

查看答案和解析>>

科目:高中数学 来源:2014-2015学年山西省高一下期末数学试卷(解析版) 题型:选择题

已知全集∪B

A. B. C. D.

查看答案和解析>>

科目:高中数学 来源:2016届云南省高三适应性月考二理科数学试卷(解析版) 题型:选择题

执行如图所示的程序框图,若输入a=1,则输出的k=( )

A、8 B、9 C、10 D、11

查看答案和解析>>

科目:高中数学 来源:2016届四川省高三上学期10月段考文科数学试卷(解析版) 题型:选择题

设x∈R,则“l<x<2”是“l<x<3”的( )

A.充分而不必要条件

B.必要而不充分条件

C.充要条件

D.既不充分也不必要条件

查看答案和解析>>

科目:高中数学 来源:2016届宁夏银川一中高三上学期第三次月考理科数学试卷(解析版) 题型:选择题

等差数列中,,则此数列前20项和等于 ( )

A.160 B.180 C.200 D.220

查看答案和解析>>

科目:高中数学 来源:2015-2016学年江西省南昌市高一上学期期中考试数学试卷(解析版) 题型:选择题

已知是偶函数,且,那么的值为( ).

A、5 B、10 C 、8 D、不确定

查看答案和解析>>

同步练习册答案