精英家教网 > 高中数学 > 题目详情

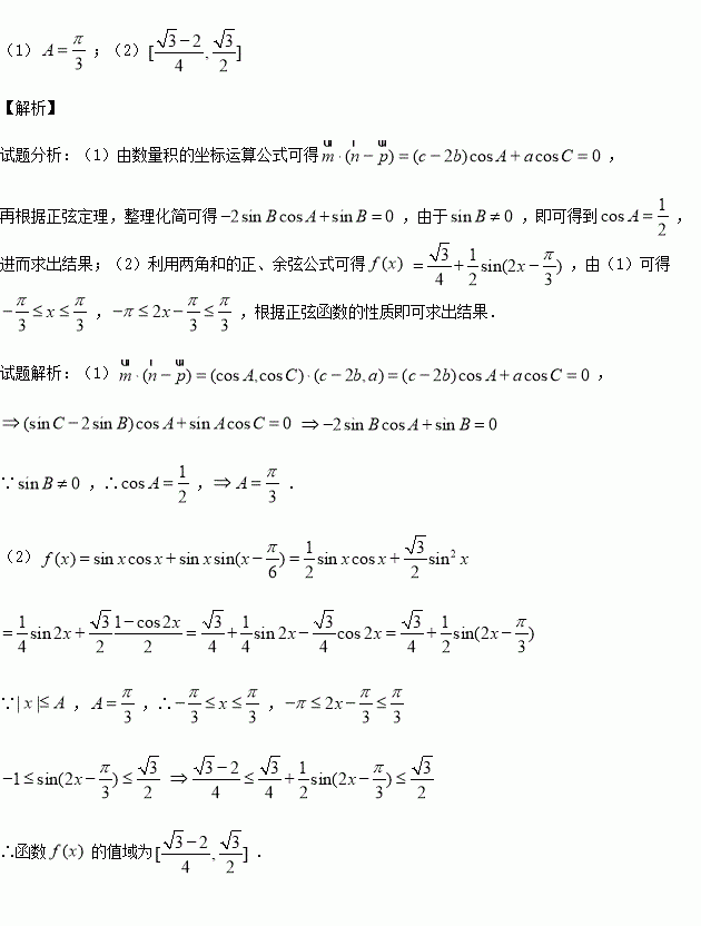
的三个内角所对的边长分别为. 平面向量,且

(1)求角的大小;

(2)当时,求函数的值域.

练习册系列答案
相关习题

科目:高中数学 来源:2016届湖南省株洲市高三上学期期中文科数学试卷(解析版) 题型:选择题

已知函数,对为一个三角形的三边长,则称为“三角形函数”,已知函数是“三角形函数”,则实数的取值范围是

A. B. C. D.

查看答案和解析>>

科目:高中数学 来源:2015-2016学年湖南师大附中高二上学期期中文科数学试卷(解析版) 题型:选择题

在平面直角坐标系中,不等式组 ,表示的平面区域的面积是( )

A. B.4 C. D.2

查看答案和解析>>

科目:高中数学 来源:2014-2015学年贵州省高二上学期半期考试文科数学试卷(解析版) 题型:选择题

在如图所示的“茎叶图”表示的数据中,众数和中位数分别 ( ).

A.23与26 B.31与26

C.24与30 D.26与30

查看答案和解析>>

科目:高中数学 来源:2016届四川省成都市高三11月阶段测试文科数学试卷(解析版) 题型:填空题

已知函数,若函数无零点,则实数的取值范围是

查看答案和解析>>

科目:高中数学 来源:2016届湖南师范大学附中高三上学期月考三文科数学试卷(解析版) 题型:解答题

设数列的前项和为,已知

(1)求的值,并求数列的通项公式;

(2)若数列为等差数列,且.设,数列的前项和为

证明:对任意是一个与无关的常数.

查看答案和解析>>

科目:高中数学 来源:2016届湖南师范大学附中高三上学期月考三理科数学试卷(解析版) 题型:填空题

中,已知,则

查看答案和解析>>

科目:高中数学 来源:2016届福建省高三上学期半期考试文科数学试卷(解析版) 题型:填空题

在平面直角坐标系xoy中,点F为抛物线的焦点,则F到双曲线的渐近线的距离为

查看答案和解析>>

科目:高中数学 来源:2016届山东省高三11月月考数学试卷(解析版) 题型:选择题

函数在区间上的图像如图所示,则可能是( )

(A)4 (B) 3 (C) 2 (D)1

查看答案和解析>>

同步练习册答案