精英家教网 > 高中数学 > 题目详情

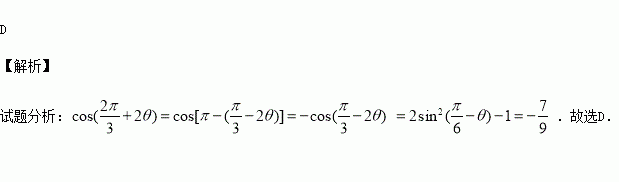
,则的值为( )

A. B. C. D.

练习册系列答案
相关习题

科目:高中数学 来源:2016-2017学年安徽六安一中高二上周末作业一理数学试卷(解析版) 题型:选择题

,其面积为,则( )

A. B. C. D.

查看答案和解析>>

科目:高中数学 来源:2017届湖北襄阳五中高三上学期开学考数学(理)试卷(解析版) 题型:选择题

定义在上的函数满足,则对任意的的( )

A.充分不必要条件 B.必要不充分条件

C.充分必要条件 D.既不充分也不必要条件

查看答案和解析>>

科目:高中数学 来源:2017届湖北襄阳五中高三上学期开学考数学(文)试卷(解析版) 题型:填空题

定义在R上的函数的单调增区间为(,1),若方程恰有6个不同的实根,则实数a的取值范围是

查看答案和解析>>

科目:高中数学 来源:2017届湖北襄阳五中高三上学期开学考数学(文)试卷(解析版) 题型:选择题

已知函数是定义在R上的增函数,则函数的图象可能是( )

A. B. C. D.

查看答案和解析>>

科目:高中数学 来源:2017届宁夏高三上学期月考一数学(理)试卷(解析版) 题型:解答题

选修4—4:坐标系与参数方程。

在平面直角坐标系xOy中,已知曲线,以平面直角坐标系xOy的原点O为极点,x轴的正半轴为极轴,取相同的单位长度建立极坐标系,已知直线

(1)将曲线上的所有点的横坐标、纵坐标分别伸长为原来的、2倍后得到曲线,试写出直线的直角坐标方程和曲线的参数方程;

(2)在曲线上求一点P,使点P到直线的距离最大,并求出此最大值.

查看答案和解析>>

科目:高中数学 来源:2017届宁夏高三上学期月考一数学(理)试卷(解析版) 题型:填空题

已知函数若关于的方程恰有5个不同的实数解,则实数的取值范围是____________.

查看答案和解析>>

科目:高中数学 来源:2017届宁夏高三上学期月考一数学(文)试卷(解析版) 题型:解答题

在平面直角坐标系中,已知曲线为参数),以平面直角坐标系的原点为极点,轴的正半轴为极轴,取相同的单位长度建立极坐标系,已知直线.

(1)将曲线上的所有点的横坐标、纵坐标分别伸长为原来的、2倍后得到曲线,试写出直线的直角坐标方程和曲线的参数方程;

(2)在曲线上求一点,使点到直线的距离最大,并求出此最大值.

查看答案和解析>>

科目:高中数学 来源:2016-2017学年河北武邑中学高一上周考9.18数学试卷(解析版) 题型:选择题

函数的单调增区间是( )

A. B.[-5,-2] C. D.[-2,1]

查看答案和解析>>

同步练习册答案