精英家教网 > 高中数学 > 题目详情

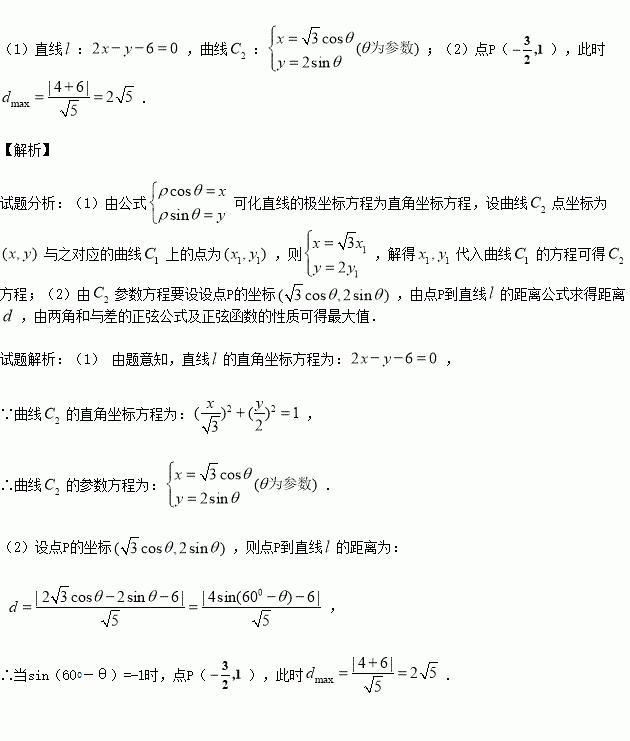
选修4—4:坐标系与参数方程。

在平面直角坐标系xOy中,已知曲线,以平面直角坐标系xOy的原点O为极点,x轴的正半轴为极轴,取相同的单位长度建立极坐标系,已知直线

(1)将曲线上的所有点的横坐标、纵坐标分别伸长为原来的、2倍后得到曲线,试写出直线的直角坐标方程和曲线的参数方程;

(2)在曲线上求一点P,使点P到直线的距离最大,并求出此最大值.

练习册系列答案
相关习题

科目:高中数学 来源:2016-2017学年河北武邑中学高一上周考9.11数学试卷(解析版) 题型:解答题

已知二次函数和一次函数,其中且满足.

(Ⅰ)证明:函数的图像交于不同的两点;

(Ⅱ)若函数在[2,3]上的最小值为9,最大值为21,试求的值.

查看答案和解析>>

科目:高中数学 来源:2017届湖北襄阳五中高三上学期开学考数学(理)试卷(解析版) 题型:选择题

某产品的广告费用与销售额的不完整统计数据如下表:

广告费用(万元)

3

4

5

销售额(万元)

22

28

m

若已知回归直线方程为,则表中的值为

A. B.39 C.38 D.37

查看答案和解析>>

科目:高中数学 来源:2017届湖北襄阳五中高三上学期开学考数学(文)试卷(解析版) 题型:选择题

已知定义在上的函数上是减函数,若是奇函数,且,则不等式的解集是( )

A. B.

C. D.

查看答案和解析>>

科目:高中数学 来源:2017届湖北襄阳五中高三上学期开学考数学(文)试卷(解析版) 题型:选择题

,则的值为( )

A. B. C. D.

查看答案和解析>>

科目:高中数学 来源:2017届宁夏高三上学期月考一数学(理)试卷(解析版) 题型:解答题

某厂生产某种产品的年固定成本为250万元,每生产x千件,需另投入成本为C(x)万元,当年产量不足80千件时,C(x)=x2+10x(万元);当年产量不少于80千件时,C(x)=51x+-1 450(万元).通过市场分析,若每件售价为500元时,该厂年内生产的商品能全部销售完.

(1)写出年利润L(万元)关于年产量x(千件)的函数解析式;

(2)年产量为多少千件时,该厂在这一商品的生产中所获利润最大?

查看答案和解析>>

科目:高中数学 来源:2017届宁夏高三上学期月考一数学(理)试卷(解析版) 题型:选择题

已知定义在上的函数满足:函数的图象关于直线对称,且当是函数的导函数)成立.若,,则的大小关系是

A. B. C. D.

查看答案和解析>>

科目:高中数学 来源:2017届宁夏高三上学期月考一数学(文)试卷(解析版) 题型:解答题

+.

(1)求上的最大值和最小值;

(2)把的图象上所有点的横坐标伸长到原来的2倍(纵坐标不变),再把得到的图象向左平移个单位,得到函数的图象,求g(x)的单调减区间.

查看答案和解析>>

科目:高中数学 来源:2016-2017学年河北武邑中学高一上周考9.18数学试卷(解析版) 题型:选择题

已知,则( )

A. B.

C. D.

查看答案和解析>>

同步练习册答案