精英家教网 > 高中数学 > 题目详情
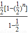
已知定义在R上的函数f(x)、g(x)满足,且f′(x)g(x)<f(x)g′(x),,若有穷数列(n∈N*)的前n项和等于,则n等于 ( )
A.4
B.5
C.6
D.7
【答案】分析:利用导数研究函数的单调性得到a的范围,再利用等比数列前n项和公式即可得出.
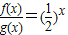
解答:解:∵=,f(x)g(x)<f(x)g(x),
=<0,即函数单调递减,∴0<a<1.
,即,即,解得a=2(舍去)或
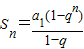
,即数列是首项为,公比的等比数列,
==
解得n=5,
故选B.
点评:熟练掌握导数研究函数的单调性、等比数列前n项和公式是解题的关键.
练习册系列答案
相关习题

科目:高中数学 来源: 题型:

已知定义在R上的函数y=f(x)满足下列条件:
①对任意的x∈R都有f(x+2)=f(x);
②若0≤x1<x2≤1,都有f(x1)>f(x2);
③y=f(x+1)是偶函数,
则下列不等式中正确的是(  )

查看答案和解析>>

科目:高中数学 来源: 题型:

已知定义在R上的函数f(x)满足:f(x)=
f(x-1)-f(x-2),x>0
log2(1-x),       x≤0
  则:
①f(3)的值为
0
0

②f(2011)的值为
-1
-1

查看答案和解析>>

科目:高中数学 来源: 题型:

已知定义在R上的函数f(x)满足f(x+1)=-f(x),且x∈(-1,1]时f(x)=
1,(-1<x≤0)
-1,(0<x≤1)
,则f(3)=(  )

查看答案和解析>>

科目:高中数学 来源: 题型:

已知定义在R上的函数f(x)是偶函数,对x∈R都有f(2+x)=f(2-x),当f(-3)=-2时,f(2013)的值为(  )
A、-2B、2C、4D、-4

查看答案和解析>>

科目:高中数学 来源: 题型:

已知定义在R上的函数f(x),对任意x∈R,都有f(x+6)=f(x)+f(3)成立,若函数y=f(x+1)的图象关于直线x=-1对称,则f(2013)=(  )
A、0B、2013C、3D、-2013

查看答案和解析>>

同步练习册答案